宇宙膨胀真是一种幻觉吗?
回溯20世纪20年代,有两个并行发展的研究为我们对宇宙的现代理解铺平了道路。在理论方面,如果遵循广义相对论,我们能推出一个被物质和能量均匀填充的宇宙,它将不会是静态和稳定的,要么膨胀要么坍缩。在观测方面,我们开始能观测到银河系之外的星系,并可以确定(平均而言)它们离我们越远,相对于我们的远离速度就越快。
简单地将理论与观测结合,膨胀的宇宙的概念诞生了,并与我们相伴至今。我们的宇宙学标准模型——包括宇宙大爆炸、宇宙暴胀、宇宙结构的形成以及暗物质和暗能量——都建立在膨胀的宇宙模型基础之上。
但是,膨胀的宇宙是否是绝对必要的,是否还有其他可能?最近,一篇有趣的新论文[1]引起了一些关注,理论物理学家卢卡斯·隆布里瑟(Lucas Lombriser)认为,通过对广义相对论的方程进行一些变换,可以使宇宙的膨胀“消失”。在他的设想中,观测到的宇宙膨胀仅仅是一种幻觉。但是,这是否与我们已知的科学相符?

在真空中,所有光线,无论其波长或能量如何,都以相同的速度传播:即真空中的光速。当我们观察来自遥远恒星的光线时,我们所看到的光线实际上已经完成了从光源到观测者的旅程。图源:Lucas Vieira/Wikimedia Commons
一、物理学的等效
有时我们能意识到,对同一现象会存在多种不同的理解方式。如果两种方式在物理上是等效的,那么我们就知道它们之间并没有区别,选择哪种方式仅仅是个人偏好问题。
以光学为例,你可以将光描述为波(如惠更斯所做)或射线(如牛顿所做),在大多数实验情况下,这两种描述会得出相同的预测。
在量子物理学领域,量子算符作用于量子波函数,你可以选择用波函数描述粒子,使其演化,而量子算符保持不变;或者你可以保持粒子的波函数不变,而让量子算符进行演化。
或者,就像在爱因斯坦的相对论中经常出现的情况一样,想象两位分别拥有时钟的观察者:一位在地面上,一位在移动的火车上。可以用两种不同的视角来等价地描述这一现象:让地面处于“静止”状态,火车上的观察者在运动中经历时间膨胀和长度收缩的效应;亦或是令火车处于“静止”状态,地面上的观察者经历时间膨胀和长度收缩的效应。
正如“相对”一词所暗示的,如果这些情景彼此之间给出相同的预测,那么其中任何一个都与另一个等效。

由爱因斯坦创立的相对论(在爱因斯坦之前,洛伦兹、斐兹杰惹(George Francis FitzGerald)等人也曾推导出类似的数学表达式)的革命性观点是,快速运动的物体在空间中看起来会收缩,而时间会膨胀。你相对于静止的观察者运动得越快,你的长度看起来就会收缩得更大,而对于外部世界来说,时间看起来则会更膨胀。对于站在地面上的观察者来说,火车会收缩,而火车内部的时间会膨胀;对于火车上的观察者来说,外部世界会经历长度收缩和时间膨胀。图源:C. Renshaw, IEEE, 1996
相对论中的后一种情景,暗示数学家常用的坐标变换可能给我们带来一些启发。我们可能比较习惯用大约400年前勒内·笛卡尔的方式来考虑坐标:方向/维度彼此垂直,坐标轴具有相同的尺度,即我们都学过的笛卡尔坐标系。
但笛卡尔坐标并不是唯一好用的坐标系。比如,处理具有轴对称性的物体,我们可能更喜欢使用柱坐标;处理关于中心点对称的物体,使用球坐标可能更合理。如果要处理的不只是空间,而是时空——其中“时间”维度在本质上与“空间”维度有着根本不同的行为——那么使用双曲坐标来将空间和时间联系起来会更加方便。
坐标方法的伟大之处在于:它们仅仅是一种选择。只要你不改变系统背后的基本物理原理,你完全可以自由地选择任何你喜欢的坐标系来描述宇宙中的任何事物。

一旦跨越形成黑洞的临界点,事件视界内的一切都会被挤压成一个奇点,至多是一维的。没有三维结构能够完整幸存。然而,一个有趣的坐标变换表明,黑洞内部的每一个点都与外部的一个点一一对应,这引发了数学上有趣的可能性,即每个黑洞的内部孕育出一个小宇宙。图源:vchalup / Adobe Stock
二、重新定义坐标:“逆”膨胀宇宙
有一种显而易见的方法可以尝试应用于膨胀的宇宙。传统上,我们注意到束缚系统(如原子核、原子、分子、行星,甚至恒星系统和星系)中的距离随时间不变;我们可以将它们作为“标尺”,在任何给定时刻都可以很好地测量距离。当我们将其应用于整个宇宙时,由于我们看到远处(非束缚的)星系相互远离,我们得出结论——宇宙正在膨胀,并试图找到膨胀速率随时间变化的关系。
那么,为什么不逆向思维,将这些坐标重新定义一下:保持宇宙中(非束缚的)星系之间的距离固定,而让我们的“标尺”和其他束缚结构随着时间而缩小呢?
这种选择看起来似乎有些轻率,但在科学中,我们通过改变看待问题的方式,反而能揭示出在原视角中不明显的一些特征,它们可能在新视角中变得清晰起来。重新定义坐标的方法让我们充满期待——这正是隆布里瑟在他的新论文中所探讨的。采用这种逆向的视角,对于那些最大的谜题,我们将会得出什么样的结论呢?

这是一段按宇宙的膨胀比例缩小、中等分辨率的模拟宇宙结构形成的片段,显示了富含暗物质的宇宙数十亿年的引力增长。值得关注的是,在丝状结构交叉处,丝状物质和丰富的星系团主要是由暗物质产生的;正常物质只起很小的作用。随着模拟规模越大,更小尺度的结构本质上会被低估或“平滑化”得更严重。图源:Ralf Kaehler and Tom Abel (KIPAC)/Oliver Hahn
与传统的宇宙学观点不同,我们可以将宇宙重新构建为静态且非膨胀的,相应的代价是:质量、长度和时间尺度,都会发生改变和演化。因为我们的目标是保持宇宙的结构恒定,所以不能有膨胀、弯曲的空间(其中含有不断增长的密度不均匀性),因此这些演化效应需要对应到其他地方。质量尺度将不得不随时空的演化而演变,距离尺度和时间尺度也将如此。它们必须以精确的方式共同演化,以便在将其结合起来描述宇宙时,它们能构成标准解释的“逆”。
还有一种方法是同时保持宇宙的结构恒定,以及质量尺度、长度尺度和时间尺度,但代价是宇宙的基本常数以某种方式共同演化,这样才能将宇宙的所有动态都“编码”在它们之上。
你可能会试图反对上述两种表述,因为我们的传统观点更符合直觉。但正如我们之前提到的,如果数学是相同的,且任何观点的预测之间没有可观测的差异,那么尝试将它们应用于宇宙时,它们都具有相同的有效性。
三、不膨胀的宇宙什么样?
想要解释宇宙中的红移么?在这个新的图像中,可以用一种不同的方式来解释。在标准的图像中:
原子经历原子跃迁;
释放出具有特定波长的光子;
该光子穿过膨胀的宇宙,在旅途中发生红移;
当观察者接收到它时,它的波长比观察者实验室中的相同原子跃迁的波长要长。

铁原子中有很多能级,也有不同的电子跃迁选择规则。尽管许多量子系统可以通过控制以实现高效的能量传递,但在生物系统中还没有以同样方式运作的例子。图源:Daniel Carlos Leite Dias Andrade et al., Conference: 25º CSBMM – Congresso da Sociedade Brasileira de Microscopia e Microanálise, 2015
在实验室,我们唯一可以进行的观测是:测量接收到的光子的观测波长,并将其与实验室光子的波长进行比较。这个过程中有可能发生电子质量的演变,普朗克常数 (ℏ) 的演变,以及(无量纲的)精细结构常数(或其他常数的组合)的演变。我们测量的远处光子的红移,可能是由于多种不同因素导致的,而这些因素之间无法区分。值得注意的是,适当地扩展,这些多重的因素也将会给引力波带来相同类型的红移。

当气球充气时,粘在其表面的硬币看起来相互远离,“距离更远”的硬币比距离较近的硬币远离得更快。任何光线都会发生红移,与气球的膨胀类似,光的波长会被“拉伸”到更大的值。这个图像很好地解释了宇宙的红移。图源:E. Siegel/Beyond the Galaxy
同样地,我们可以重新构建宇宙中结构的增长方式。通常,在标准图像中,我们从一个略微过密的空间区域开始,这个区域的密度略高于宇宙平均密度。然后随着时间的推移:
这个区域的引力扰动相比周围的区域会吸引更多的物质;
导致该区域的空间膨胀速度比宇宙平均膨胀速度要慢;
随着密度的增长,最终会越过阈值,引发引力束缚的条件;
这块区域开始引力收缩,并形成宇宙结构的一部分,如恒星团、星系,甚至更大的星系群。
与其追踪宇宙过密区域的演化(某种意义上追踪密度场的演化),我们也可以考虑替换为质量尺度、距离尺度和时间尺度的组合演化。类似地,也可以选择考虑普朗克常数、光速和引力常数的演化。我们所看到的“不断增长的宇宙结构”可能不是宇宙的增长结果,而是这些参数在根本上随着时间发生变化,使得可观测量(如结构和其观测尺寸)保持不变。

典型的或“普通”过密区域将逐渐形成丰富的结构,而密度较低的“Void”区域则结构较少。然而,早期的小尺度结构主要由密度最高的区域(在此标记为“Rarepeak”)主导,这些区域增长最快,只有在最高分辨率的模拟中才能观测到细节。图源:J. McCaffrey et al., Open Journal of Astrophysics (submitted), 2023
如果采取这种方法,无论看起来多么不自然,我们都可以尝试重新解释我们的宇宙中一些目前无法解释的特征。例如“宇宙常数”的问题,由于某种原因,宇宙似乎给空间充满了固有的恒定能量密度的场:这种能量密度不会随着宇宙膨胀而稀释或改变。这个问题在很久以前并不重要,但现在很重要,因为物质密度已经稀释到某个临界阈值以下。我们不知道为什么空间具有这种非零能量密度,也不知道为什么它呈现出与我们观测到的暗能量一致的值。在标准图像中,这是一个无法解释的谜团。
然而,在这种重新构造的方法中,如果质量尺度和距离尺度按照新的构造进行变化,宇宙常数的值与普朗克长度的平方的倒数之间存在关系。并且,普朗克长度随着宇宙的演化而变化,它的演化是从观察者的角度:我们现在观察到的值正是这一时刻的观测值。如果时间、质量和长度都共同演化,那么宇宙学中所谓的“巧合问题”就被消除了。任何观察者会观察到他们“当下”的有效宇宙常数,这是重要的,因为他们的“现在”这个时刻正随着宇宙时间不断演化。
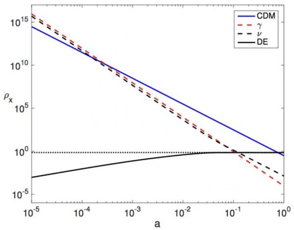
光子辐射密度(红色)、中微子密度(黑色虚线)、物质密度(蓝色)和暗能量密度(点线)随时间变化的示意图。几年前提出的一种新的模型中,暗能量被替换为图中的黑色实线,该曲线在观测上与我们假设的暗能量目前是不可区分。截至2023年,处于膨胀宇宙中的暗能量在状态方程中可以与“常数”相差约7%;更多的差异受到数据的严格限制。图源:F. Simpson et al., Physics of the Dark Universe, 2018
在这种情况下,他们可以将暗物质重新解释为粒子质量在早期以收敛方式增加的几何效应。他们也可以将暗能量重新解释为粒子质量在晚期以发散方式增加的几何效应。令人兴奋的是,重新解释暗物质的不同方法——其中宇宙膨胀被重新解释为,轴子标量场(作为已知暗物质候选粒子)与场相互作用的结果。轴子标量场与其他场的耦合引入了 CP 破坏——这是在我们的宇宙中产生物质-反物质不对称性的关键要素之一。
四、现实的“幻觉”
用这种方式思考问题会带来许多有趣的潜在结论,在早期的“沙盒”阶段,我们不应该阻止任何人进行这种类型的数学探索。有朝一日,这样的想法可能成为超越目前公认的宇宙学标准模型的理论基础的一部分。
然而,即使这在纯广义相对论视角下是有趣的,大多数现代宇宙学家也不会费心考虑这些问题。因为就算是去实验观察并证明这些重新构造在宇宙尺度是可以接受的,它也与我们在地球上已经观察到的东西完全矛盾。

氢原子形成时,电子和质子的自旋平行和反平行有同等的概率。如果它们是反平行的,就不会发生进一步的跃迁,但如果它们是平行的,它们可以通过量子隧道进入较低能态,在相当长的时间尺度发射出特定波长的光子。这种跃迁测量的精确性已能达到万亿分之一,且在数十年内保持不变,这就限制了普朗克常数、光速、电子质量及它们的组合。图源:Tiltec/Wikimedia Commons
例如,考虑以下观点:
基本粒子性质,例如质量、电荷、长度或寿命发生变化,
或者基本常数,例如光速、普朗克常数或引力常数发生变化。
我们的宇宙,从可观测的角度来看,只有138亿年的历史。我们在实验室里对量子系统进行了几十年的高精度测量,最精密的测量结果显示电子磁矩的精度达十万亿分之1.3[2]。如果粒子性质或基本常数发生了变化,那么我们的实验室测量结果也会发生变化。而根据卢卡斯·隆布里瑟等人重新构造的理论,自2009年以来的约14年时间里,我们应该能从这些精确测量中观测到数千倍于我们最精细测量精度的变化:约为十亿分之一的差异。
电子的磁矩在2007年和2022年都经过极高精度的测量,它们之间的变化少于十万亿分之一(早期测量精度的极限),这表明了精细结构常数并未发生变化。
氢原子的自旋翻转跃迁导致了一个精确波长为21.10611405416厘米的射线,其不确定度仅为万亿分之1.4,并且自1951年首次观察以来没有发生变化。随着时间的推移,物理学家对其进行了更精确地测量,这表明普朗克常数并未发生变化。
而厄缶实验(Eötvös experiment),用于测量惯性质量(不受引力常数影响)和重力质量(受影响)之间的等效性,截至2017年已经显示这两种“类型”的质量等效性非常显著,达到了一万亿分之一。

等效原理认为,宇宙中重力加速度与任何其他力造成的加速度之间不应该有任何差异。其中一个取决于引力常数而另一个则不取决于引力常数,对等效原理最精确的测试是由MICROSCOPE卫星完成的,其精确度达到了10的负15次方,这是一种约束引力常数随时间变化的方法。图源:APS/Carin Cain
按照标准观点研究宇宙的一个显著特征是:贯穿整个宇宙的历史,所有在地球上适用的物理定律同样适用于宇宙中的任何位置和时刻。一个在地球上失败的宇宙学观点,远不如一个在所有物理系统都能成功适用的观点有趣。传统的膨胀的宇宙观点与地球上的物理学相符,而另一个替代观点在描述更大的宇宙时表现良好但在地球上失败,那么我们并不能说膨胀的宇宙是一个幻觉。毕竟,地球上的物理学对我们来说是最真实、能进行最精确测量和严格检验的锚点。
这并不是说发表这种推测探索性研究的期刊——比如《经典和量子引力》(Classical and Quantum Gravity)、《高能物理学杂志》(Journal of High Energy Physics)或《宇宙学与宇宙粒子物理学杂志》(Journal of High Energy Physics)等——不具有声誉和高质量;实际上它们是非常有声望的。它们是特定领域的专业期刊——比起对实验的分析和理解,它们对(宇宙)早期的理论探索更感兴趣。
无论如何,请继续探索标准宇宙学(和粒子物理学)的现实替代方案。但不要假装抛弃所有的现实是一个可行的选择。在这里,唯一的“幻觉”是我们观察到、测量到的现实,在理解我们的宇宙时,这是非常重要的。
参考文献
[1] Lucas Lombriser 2023 Class. Quantum Grav. 40 155005, DOI: https://doi.org/10.1088/1361-6382/acdb41
[2] Phys. Rev. Lett. 130, 071801 DOI: https://doi.org/10.1103/PhysRevLett.130.071801
本文来自微信公众号:返朴 (ID:fanpu2019),作者:Ethan Siegel,翻译:刘航
相关推荐
宇宙膨胀真是一种幻觉吗?
大爆炸并非宇宙开始?新理论指出宇宙永恒膨胀,时间毫无意义
漫威的平行宇宙真的存在吗?天体物理告诉你
“互联网思维”?幻觉,不存在的
平行宇宙的设定,具备科学基础吗?
专访AAAS院士查尔默谈元宇宙:在黑客帝国里庄周梦蝶
给宇宙绘制一幅地图,这可能吗?
宇宙年龄只有137亿年,为什么半径有465亿光年?
其实,多重宇宙真的存在?
GDSA真是为了PK掉Google Play而生的吗?
网址: 宇宙膨胀真是一种幻觉吗? http://www.xishuta.cn/newsview86338.html
推荐科技快讯
- 1问界商标转让释放信号:赛力斯 95792
- 2报告:抖音海外版下载量突破1 25736
- 3人类唯一的出路:变成人工智能 25175
- 4人类唯一的出路: 变成人工智 24611
- 5移动办公如何高效?谷歌研究了 24309
- 6华为 nova14深度评测: 13155
- 7滴滴出行被投诉价格操纵,网约 11888
- 82023年起,银行存取款迎来 10774
- 9五一来了,大数据杀熟又想来, 9794
- 10手机中存在一个监听开关,你关 9519
