传说中的天基武器,威力到底有多大?
本文来自微信公众号:中科院物理所(ID:cas-iop),作者:乐子超人,原文标题:《传说中的天基武器威力到底有多大?你一定想不到!》,题图来自:《独立日》
“上帝之杖、RODS FROM GOD、神の杖,传说中的终极武器,在十几分钟的时间内实现全球任意目标地点的打击,杀伤力堪比战术核武器,更能摧毁深藏地下掩体的目标......”
“上帝之杖”是什么?其研究进展到了哪一步,是否仍只存在于概念之中?它的威力是否真如传说中那样恐怖?
战争发展史?扔石头发展史!
“上帝之杖”是一种天基动能武器,要了解它,就要从它的“前世”动能武器讲起。动能武器,顾名思义便是利用动能对物体造成杀伤的武器,高速运动的弹头直接碰撞目标,释放巨大的动能摧毁目标。
动能武器在人类史中占据着重要的地位,从早期原始人捕捉猎物扔出的石子、投石索,到冷兵器时代的弓箭、投石车,再到火药诞生之后的枪械,都属于动能武器的范畴。如果三体人真的存在,他们摧毁一整个地球舰队的水滴也是一种动能武器。可以说,战争武器的发展其实就是在变着法子,扔更快的石头,扔更硬的石头。
动能武器的核心便是如何给“弹头”提供巨大的动能。靠人力扔出的石头动能约为100焦耳;投石索通过甩动加速,动能可以达到200焦耳,比直接扔石头的威力高了一倍;弓可以将形变存储的弹性势能转变为箭的动能,在英法百年战争期间立下赫赫战功的英国长弓手使用的英国长弓,可以为箭提供最大160焦的射击动能,并且由于箭头的设计能减小摩擦损耗,其杀伤力毫不逊色于投石索。

英国长弓 | 图片来源:参考资料4
在火药诞生之后,扔石头的方法进化了。将火药爆炸的能量转换为子弹的动能,瞬间将子弹加速到400米每秒的速度,对目标物造成巨大的杀伤。
而火药的诞生,也启发了武器向另一个方向的发展——爆炸杀伤。相比先将化学能转化为动能,经过长距离空气摩擦损耗最终对目标造成杀伤的动能武器,直接在目标附近爆炸释放巨大能量的炸药类武器逐渐在现代战争中占据主导。动辄百万焦能量的坦克炮弹已是战场的主宰,威力更大的核武器更是成为了大国之间博弈的终极武器。
那么动能武器会逐渐退出历史舞台吗?并不会。比如当人们真正进入宇宙,开启星际大战的时代,由于宇宙中缺少介质,靠爆炸杀伤的武器威力大打折扣,这时动能武器或许会成为最优解,毕竟太空中没有空气阻力,十分适合动能武器的发挥。
不提遥远的未来,现在动能武器中也有电磁炮武器逐渐开始得到研发应用。利用电磁力取代火药爆炸对弹体进行加速,可以给弹体提供更高的动能。
我们可以看到,给“石头”加速的能量来源多种多样,有人体做功能量、弓身形变的弹性势能、火药爆炸的化学能以及电磁场所具有的电磁能,但还有一种常见的能量也可以用于动能武器——重力势能。天基动能武器由此而来。
“上帝之杖”的前世今生
早在上世纪50年代,兰德公司(Rand Corporation)提出在洲际导弹顶端安装长杆;而利用卫星发射这一方式则随着科幻作家杰瑞·波内尔(Jerry Pournelle)的作品流行开来,最终演变成现在的天基动能武器。
在2002年,兰德公司提供了一项报告,“Space Weapons,Earth Wars”,其中有一整章的内容用来描述天基动能武器的实用性。
在2003年,美国空军出版名为“The U.S. Air Force Transformation Flight Plan”的报告,在其未来天基武器的概述中提到了“超高速棒束”,也就是所谓的“上帝之杖”。
在这份报告中写着,超高速棒束系统是20英尺长(6.1米),1英尺直径(0.30米)的钨棒;在特定轨道上部署有6-8颗卫星控制,能够在12-15分钟内打击全球任意目标。这一钨棒质量约为8.2吨,在发射后能够以10马赫(十倍音速,3400m/s)的速度撞击目标物;相当于11.5吨TNT(48GJ)的能量瞬间释放,可以提供与等重的常规炸弹相类似的破坏力。

天基武器部署的卫星轨道 | 图片来源:参考资料3
真正让天基武器走入大众视线的,还是其在一系列影视娱乐作品中的出场,以及“上帝审判”般的震撼表现。
杰瑞·波内尔在科幻小说Footfall中描述了天基武器的存在,其在小说中有着雷神般的表现。

Footfall | 图片来源:参考资料3
在机动战士高达系列中也有天基动能武器的体现——只不过是将整个卫星作为动能武器。
2011年上映的《特种部队2:全面反击》利用精美的特效向观众展现了天机动能武器的巨大威力,仅仅一枚钨棒,便能引发足以摧毁整个伦敦的地震。

《特种部队2:全面反击》中天基动能武器发射画面
除了各种影视剧作品外,天基动能武器一直是各种游戏里终极武器的热门候选。《使命召唤:幽灵》的开场便是围绕着卫星上天基武器控制权的争夺展开,最终恐怖分子还是将一枚钨棒射向了美国大陆,并完全摧毁了一座城市。

《使命召唤:幽灵》中的天基武器:Odin
此外,天基武器还出现在《辛迪加战争》《质量效应2》《光环》以及《GTA5》等一系列游戏中,均被设定为了威力巨大的终极武器。
可能有读者已经发现了,截至目前关于天基武器的描述全部为各种影视设定以及理论预测,天基武器到底威力几何,是否已经有实验验证呢?
天基武器威力几何
在2018年,我国研究团队发表了一篇名为《超高速长杆弹对岩石侵彻、地冲击效应理论与实验研究》的论文,详细模拟了天基武器对地面打击效果,并在其中描述了钨棒对地打击的实战结果。
与低速情况下不同,超高速的长杆弹与地面撞击不能再视为刚体碰撞,而是会根据速度不同分为刚体侵彻、半流体侵彻与流体侵彻三种模式。
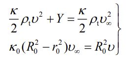
1. 在弹体速度v≥3.0马赫(1马赫=1倍声速)时,发生流体侵彻,需采用流体动力学模型对侵彻过程进行计算,其伯努利方程和连续方程为:

其中v∞为向后喷射流的速度极限,K0为破碎介质喷射的压缩射流系数,表征了介质向后喷射过程中粒子速度的变化情况。
2. 在弹体速度1.5马赫<v<3.0马赫范围内,发生半流体侵彻,介质处于内摩擦向流体状态转变区,采用修正的流体动力模型进行模拟。
3. 在弹体速度v≤1.5马赫时,发生刚体侵彻,岩石介质的动态变性可以采用线弹性内摩擦压缩模型进行模拟。
天基动能武器的撞击速度一般在10马赫以上,从上述分析可知,随着弹体侵彻岩石内部,弹体逐渐减速,侵彻模式会发生从流体侵彻到半流体侵彻再到刚体侵彻的转变,因此在计算成坑范围时便可按照下图将弹坑分为三个区域分别计算。

超高速弹体侵彻演示成坑范围计算简图,由内向外分别为拟流体区,该区域的破碎岩石可视为无黏性不可压缩理想流体;裂纹区,该区域质点位移很小;弹性区,仍旧保持着岩石的初始物理力学特征。| 图片来源:参考资料6
当然,该团队不只是给出了用于分析的模型,还结合实际验证数据进行了分析。

文献原文 | 来源:参考资料6
也就是说,我国已经实施了天基动能武器的对地打击原型实验,实验结果是140kg的钨棒仅打出了一个深3.0m,坑径4.6m的抛物型弹坑。

钨棒打击戈壁滩实验的成坑结果示意图 | 图片来源:参考资料6
这个杀伤力距离毁灭一座城市着实有点儿远,看来想要实际应用弹体的质量还要提高不少。至于质量增加之后,如何控制运输成本和难度,那又是另一个问题了。
高空抛物的难处
利用重力势能与动能的转换,通过提高高度便可以得到更大的动能吗?
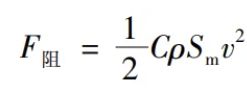
在地球上,凡是高空抛物问题,都不得不考虑空气阻力的影响。考虑一般的圆球形状的物体,其在空气中受到阻力:

其中,C是阻力系数,ρ是空气密度,v是物体的速度。可以看到,随着物体速度增大,其受到的空气阻力大小会呈抛物线形迅速增长,达到物体的重力大小,此时重力与空气阻力平衡,物体速度不再增长。
因此从高空落下的物体都会有一个收尾速度,比如雨滴的速度是8~9m/s。(所以大家就不用担心一滴水从很高的地方落下来会不会砸死人了。)
对于天基动能武器而言,空气阻力会限制其速度增长。根据模拟计算,当不计入空气阻力时,“上帝之杖”动能弹的入地速度可以达到8221.3m/s,是计算空气阻力情况下的两倍多,反映在动能上,没有空气阻力时弹体的动能可以达到原来的四倍以上。
或许等到人类真正进入宇宙的那一天,动能武器才能展现出它真正的威力,正如各种科幻作品中展示的那样。
参考资料:
1.Rods from God | Popular Science (popsci.com)
2.中国成功发射天基动能武器,威力惊人 - 知乎 (zhihu.com)
3.Kinetic bombardment - Wikipedia
4.发展了上万年的人类,准备摆脱对“动能武器”的痴迷了吗?- 知乎 (zhihu.com)
5.关于APFSDS的科普(一) 长杆弹高速侵彻的基本概念与Alekseevskii-Tate模型 - 哔哩哔哩 (bilibili.com)
6.王明洋,邱艳宇,李杰,等.超高速长杆弹对岩石侵彻、地冲击效应理论与实验研究[J].岩石力学与工程学报, 2018, 37(3):9.DOI:10.13722/j.cnki.jrme.2017.1348.
7.李争.“上帝之杖”天基动能武器毁伤效应评估[J].振动与冲击,2016,(18):159-164,180.
本文来自微信公众号:中科院物理所(ID:cas-iop),作者:乐子超人
相关推荐
传说中的天基武器,威力到底有多大?
动能武器归来:电磁炮到底有啥用?
超级观点 | 数字人首登《时代周刊》,虚拟产业的想象力到底有多大?
掌机改装的脑洞到底有多大?
5分钟,了解天到底有多高
到手就坏的二手iphone13,到底有多坑?
OKR,企业变革的武器
我国天基信息系统发展到什么水平了?
莫非这就是传说中的美团“总部基地”?
我就是传说中的互联网中层
网址: 传说中的天基武器,威力到底有多大? http://www.xishuta.cn/newsview78409.html
推荐科技快讯
- 1问界商标转让释放信号:赛力斯 95792
- 2报告:抖音海外版下载量突破1 25736
- 3人类唯一的出路:变成人工智能 25175
- 4人类唯一的出路: 变成人工智 24611
- 5移动办公如何高效?谷歌研究了 24309
- 6华为 nova14深度评测: 13155
- 7滴滴出行被投诉价格操纵,网约 11888
- 82023年起,银行存取款迎来 10774
- 9五一来了,大数据杀熟又想来, 9794
- 10手机中存在一个监听开关,你关 9519
