污染空气,也会污染“心灵”
本文来自微信公众号:深究科学 (ID:deepscience),作者:石子桑,题图来自:视觉中国
近年来,伴随着似乎永无止境的内卷,“精神内耗”“压力山大”这些词语几乎成了我们每日吐槽的口头禅。
身心健康越来越成为我们需要关注的内容。根据《中国国民心理健康发展报告(2019-2020)》,相比2008年的全国心理健康状况调查,人们的心理健康水平有明显下降。
最近,美国医学会杂志的两项新研究对不同浓度空气污染与人们患心理疾病的关联进行了分析,其结果颠覆了人们的认知。

近两天,我国东部地区的沙尘天气,图/新浪微博@中国气象爱好者
今天我们就来了解一下空气污染对人体的身心危害。
污染空气,同时也会污染心灵?
几乎没有人能逃离空气污染,因为它无处不在。
随着人类工业化和城镇化的发展,汽车尾气、燃煤颗粒和工业废气等污染物一股脑全部进入了大气中。
这使得大气的循环能力达到了饱和,没办法净化这些污染了,于是空气中的细微污染物就从皮肤、呼吸道突破人体防线,损害我们的呼吸和循环系统。
长期以来,空气污染一直被认为与心血管和呼吸道疾病有关。但有研究显示,除了危害生理健康,空气污染还会导致抑郁,危害我们的心理健康。这是怎么回事呢?
抑郁症和焦虑症都是常见的心理疾病,它们常同时存在。研究人员在研究心理疾病时也经常将它们一起评估,这对于识别早期症状和促进精神健康以及预防非常重要。
美国国立卫生研究院(NIH)资料显示,抑郁症是一种常见但严重的情绪障碍。它会影响人感受世界的方式和处理日常问题的能力,不仅会使人悲观无助,还可能导致失眠、记忆力衰退甚至是产生自杀想法。
值得一提的是,精神健康障碍可能会导致患者残疾,并且它是致残的主要因素之一,这个因素所占的比重正在日益增长。
2019年发表在《柳叶刀》上的一篇论文提及了全球生命损失年(DALYs)这个概念,它反映了人因伤残或早死所减少的寿命指标。在2019年的生命损失年中,精神健康障碍在全球1.25亿残疾的形成原因中排名第七。
越来越多的流行病学证据表明,空气污染也会影响心理健康,接下来我们一起探究空气污染与心理健康之间的关系。
空气污染提升抑郁风险
如果你正准备出门上班,打开家门发现外面被雾霾笼罩,空气中刺鼻的气味让你眉头紧锁,几乎喘不过气,你会不会觉得心烦、胸闷?
事实上,长期暴露在空气污染的环境中的确有引发我们患上抑郁症的风险。近期,发表在美国医学会杂志上的两项新研究就证明了这一点。
2023年2月10日,发表在《美国医学会杂志》(JAMA Network Open)上的一项研究发现,长期暴露在高水平的空气污染中会增加老年人患晚发性抑郁症的风险。
为了研究空气污染对老年人的影响,来自哈佛大学和埃默里大学的研究人员,检查了美国政府为64岁以上人群提供的医疗保险计划中近900万人的医疗保险数据。
据联邦医疗保险的说法,2005年至2016期间,医疗保险计划涵盖的老年人中,共有超过152万人被诊断患有抑郁症。
凭借这些医疗保险数据,研究人员绘制了污染水平的地图,并将其与医疗保险患者的地址一一比对。
他们发现,这些老年人接触的污染物是粉尘或烟雾等细颗粒物,主要来自机动车排放的二氧化氮,以及汽车、发电厂、炼油厂排放的臭氧。
研究人员表示,老年人肺部和神经系统的脆弱,使他们可能特别容易患上与空气污染有关的抑郁症。
低污染浓度,也会导致抑郁
那么,前文这一项研究的结果,是否意味着抑郁风险与污染浓度直接挂钩?
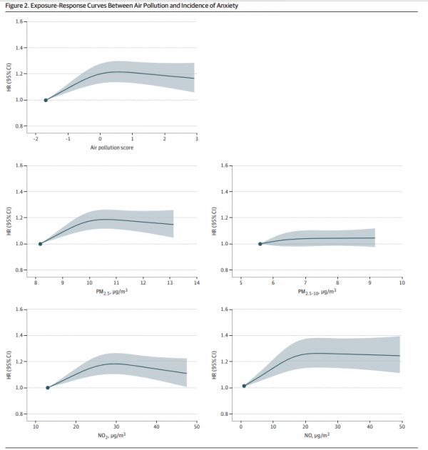
在另一项发表在《美国医学会精神病学杂志》(JAMA Psychiatry)上的研究中,英国和中国的研究人员却给出了否定的答案。研究发现,长期暴露在低水平的空气污染物中与抑郁和焦虑的发病率增加有关。
这些研究人员研究了英国生物样本库中超过50万成年人的样本,并结合样本中每个人的个人特征、生活方式和生活区域进行研究,以评估长期暴露于空气污染中的人,会不会更容易得抑郁症和焦虑症。

空气污染与焦虑发生率的曲线(图源自论文)
结果表明,长期暴露在低浓度的多种空气污染物中的人,即使所处的地区污染水平较低(低于英国空气质量标准),他们患抑郁症和焦虑症的风险也会有所增加。
值得一提的是,考虑到许多国家的空气质量标准仍远高于世界卫生组织最新的《2021年全球空气质量指南》,研究人员呼吁世界卫生组织在未来的政策制定中应实施更严格的空气污染控制标准或法规。
另一方面,这项研究的结果或许能为《全球疾病负担》中考虑的与空气污染相关的心理健康评估提供重要证据。
总而言之,上述的两项研究说明,长时间暴露在空气污染的环境中会对人的心理健康造成危害。一方面,高水平的空气污染确实会带来患抑郁症的风险。另一方面,我们也不能忽视低浓度空气污染对身心的危害。
参考文献
1.Air Pollution Isn't Only Bad For Lungs, Say Studies. It's Also Bad For Mental Health
2.Long-term Exposure to Multiple Ambient Air Pollutants and Association With Incident Depression and Anxiety
3.GBD 2019 Diseases and Injuries Collaborators.Global burden of 369 diseases and injuries in 204countries and territories, 1990-2019: a systematicanalysis for the Global Burden of Disease Study2019. Lancet. 2020;396(10258):1204-1222.doi:10.1016/S0140-6736(20)30925-9
本文来自微信公众号:深究科学 (ID:deepscience),作者:石子桑
相关推荐
污染空气,也会污染“心灵”
月球上的“交通”污染
「看不见」的万亿市场:冰山下的身心灵
20年后,塑料污染会成什么样?
沙尘暴来袭,PM2.5的危害被严重低估了?
「Paroled the Leopard」,探索心灵的冒险之旅 | 36氪游戏制作专题
专家释疑“接触传播”:被病毒污染的手揉眼睛也可能感染
亚马逊获准发射3236颗互联网卫星,天文学家担忧污染夜空环境
疫情隔离期间天变蓝了,为何臭氧污染反而严重了?
环保又赚钱,电子垃圾“变废为宝”受到追捧
网址: 污染空气,也会污染“心灵” http://www.xishuta.cn/newsview71116.html
推荐科技快讯
- 1问界商标转让释放信号:赛力斯 95792
- 2报告:抖音海外版下载量突破1 25736
- 3人类唯一的出路:变成人工智能 25175
- 4人类唯一的出路: 变成人工智 24611
- 5移动办公如何高效?谷歌研究了 24309
- 6华为 nova14深度评测: 13155
- 7滴滴出行被投诉价格操纵,网约 11888
- 82023年起,银行存取款迎来 10774
- 9五一来了,大数据杀熟又想来, 9794
- 10手机中存在一个监听开关,你关 9519
