概念性学习与更好的记笔记方式
神译局是36氪旗下编译团队,关注科技、商业、职场、生活等领域,重点介绍国外的新技术、新观点、新风向。
编者按:我们从小到大的习惯都是线性学习,也就是从提出问题到给出解决方案一步步走,这种学习方式对于应付考试的效果不错,但是对于理解所学知识、触类旁通并没有太大帮助。在新的笔记工具的辅助下,采用非线性的学习方式更符合人的大脑机制,有利于强化对概念的理解,从而能真正学到知识。文章来自编译。

划重点:
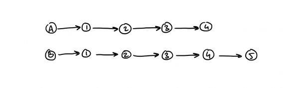
线性思维的过程是一步跟着一步走
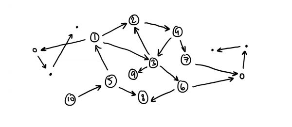
概念(非线性)思维则更加自由
这个学年你第一次上数学课,老师要求你打开笔记本,开始进入第一个主题。标题是? “第1 章:复数”,紧跟着的是“1.去年的提醒事项”。你挠着脑袋,甚至都不记得一年前有没有做过复数——似乎没记住多少。我们都有过这种感觉,尽管未必是数学,可能是上科学甚至语言课。你当时考试成绩不错,但是一旦某个课题考过试后,你马上就会将学过的所有东西都扔进垃圾箱里——而不是转移到长期记忆。这就是两种不同类型的学习与思考之别:一种是线性思维与学习,另一种是概念(或非线性)思维与学习。
线性思维的过程是一步跟着一步走:从提出问题到给出解决方案开辟出一条道路。总可以应用或遵循某个公式或方法,从而得到一个解决方案。
概念(非线性)思维则更加自由。概念思维不是盲目地应用公式,而是利用来自其他方面,有时候甚至是完全不相关的概念知识,创造性地找到问题的解决方案。
我们在高中的时候就往往会运用非常线性的教学方式。学生要接受考试,而这种做法又进一步激励他们只学习上次考试之后涵盖的章节。每一章基本都是自成一体,各章之间几乎没有联系。而章节的内容往往堆满了过程和公式,只是为了背诵和应用。

我的学习生涯大部分都是采用极其线性化的法国体系,我在高中基本上都是填鸭式地将公式和方法强行塞进大脑,结果总是成绩平平飘过。我不理解那些公式,纯粹把它们当作真理死记硬背,等待考试通过。
“序列,第七章?等一下,是多少节了?”
——未具名的某位法国数学老师谈问题的根源
几个月前,我听说了 Obsidian,对它非常感兴趣。 Obsidian 不是简单地将笔记放到文件夹了事,而是不管一个个笔记放在文件夹结构的什么位置,都可以让你将它们链接在一起,从而形成一个笔记和文件全都链接在一起的网络。你随便选择一个笔记就可以浏览整个笔记网络,只需要跟着链接,从一个笔记跳转到另一个笔记即可。这款应用会激励你根据自己的想法或概念做尽可能多的笔记,以便可以将它们链接到其他笔记。仔细想想,其实像维基百科甚至社交网络这样的网站的工作方式也是一样的,都有到相关主题和概念的链接。
这样的网络才是知识该有的运作方式与组织方式;这样一来,想法不会分门别类,被整齐地放到一个个带有标签的抽屉内,而是一堆链接。有时会冒出一个没法归类为这个或那个主题的想法或概念,它也许位于两者之间的灰色地带——就像你永远不知道该放到餐具抽屉什么地方的勺叉一样,而且有时候有些想法就是独立的存在,还没法跟其他的关联起来。

我第一次在学校开始应用概念笔记的时候,我发现这种自由的体验简直令人难以置信。章节号没了,我以前从未考虑过的链接变得愈发突出。不过,伴随这股最新发现的力量而来的却是斗争:将线性课程结构转换成独立概念需要努力和计划——某个子概念什么时候应该成为它的单独笔记?现在我感觉很明显的概念应该写下来吗?还是应该无视并希望自己能记住?——这种概念性的记笔记方式,即使经过几个月的练习之后仍然会出现这些问题,不过我已经逐渐想出了以下的指导方针:
每个想法都应该有独立的笔记,任何小节也都应该有——否则在这个笔记网络里面就只有一个线性的笔记,违背了初衷。有时候,如果章节确实内容不多的话,放进来也是可以的,但如果内容开始扩充的话,就要把内容迁移到独立的空间。
如果一个子概念很明显的话,就不需要把它做成笔记——提及这个概念也许有用,但你已经掌握的东西就没必要再解释了。
只有在必要的时候才把示例放进来——例子会增加臃肿。笔记应努力把概念解释清楚,清楚到不需要例子说明,只有在需要解释的时候才引入例子。
永远要用自己的语言去解释概念(这是最难做到的事情之一)——抄教科书上面的文字并不能帮助你吸收知识。首先要理解概念,然后自己写下包含所有重要信息的笔记。强迫自己用自己的语言去思考,这样可以更容易记住内容。
回顾并建立(新的)链接——要时不时花点时间回顾并链接到任何的相关信息,一开始不太明显的链接可能一段时间之后突然就被你发现了。保持连接对于系统的成功至关重要。
这些指导方针对我比较有用,如果我对某个东西犹豫不决的话,我会先尝试,看看是不是有效;如果没用,我会记下来。不应该去适应系统,而应该让系统适应你。所以,要不断调整这套系统,直到感觉对路为止。各种各样的 Notion 模板,花哨的手写笔记,这样的笔记系统的兔子洞很深,花时间去复制别人的布局对你来说可能会特别有诱惑力。不要掉进那个陷阱,因为这样一来,你会把时间花在让笔记更好看上面,而不是注重笔记的内容(个人经验)。我推荐 Markdown 类的应用;Obsidian 就是其中之一。 Markdown 让你专注于内容,同时仍然保留格式化文本的能力(这对我总是会分心的大脑来说是一个巨大优势。)
如果你对 Markdown 感到好奇:这是一种易于学习的,轻量级的标记语言。Markdown 既可以用纯文本编辑器编辑,又可以格式化文本。也许你已经用过这种语言——比方说是不是在 Discord(或其他网站)上试过用星号 (*) 将文本设置成斜体或粗体?那就是 Markdown。网上有很多很好的速查表可以帮助你入门。
一旦系统就位,而且你已经开始使用,并养成了用这种方式记笔记的习惯,你就会发现你可以写得更好,回答得更好,并且在利用信息的方式上变得更有创意。大部分信息都已经留在你的脑海里了,因为输入所有这些信息以及建立那些链接需要集中注意力。如果你不记得某些内容,只需点击几下链接即可获得相关信息。再也不需要查找包含第 27 页第 3.2 节的信息的文件在哪里了。
大多数人都想学会如何学习,典型的线性记笔记方法也许可以帮助你应付考试,但这样子学到的东西难以为继,因为人的大脑机制不是那样的。概念驱动,互相链接的笔记就可以持续。这听起来似乎很神奇,而且有点难以置信,但是用一种与大脑存储信息的方式相兼容的方式去学习很有效。这种方式绝对没法帮助你更快地应付明天的考试,但这是对个人知识的长期投资。不过我必须承认,转变学习方式并不容易,需要付出相当多的时间和精力,但这种付出非常值得。
在校对本文时,我的朋友 Summer 给我发了一段写得很好的文字,我忍不住要贴出来给大家看看:
当我在学习 Blender 的一个新节点时,或者用节点创建最近学到的公式的一种新方法时,这个过程非常有趣,那感觉就像用一种令人满意的方式将所有东西都连接在一起。但在此之前,学习就是为了取得一个好成绩,然后尽快继续。所以,我有点明白你的意思了,关于怎么通过与你已经知道的东西建立联系来学习,就好像往工具箱里面增加一个新工具,而不只是记住工具的各个部分是什么,然后束之高阁。
延伸阅读:
终极学习大法:如何记住所学的东西
如何过上你想要的生活:一种多学科的思维方式
个人知识图谱:你的第二大脑
译者:boxi。
相关推荐
概念性学习与更好的记笔记方式
如何复制费曼的学习方式,来快速掌握任何知识
面向读者的Spotify:为互联网创造更好阅读体验,竞赛开始了
AI定制学习成长路径,「瓶盖思维」想要颠覆现有学习方式
AI 在教育里的想像与边界
四种互联网教育新模式解读:00 后学习方式的更新迭代
聪明人是这样做笔记的:数字化的高效笔记方法
被在线教育公司盯上的“SA圈”:陪你学习,还是卖货给你?
对话深度学习奠基人特伦斯:AI的进化动力与终极限制
用游戏化方式完成“反人性的学习”,一家公司完成1800万美元融资
网址: 概念性学习与更好的记笔记方式 http://www.xishuta.cn/newsview62844.html
推荐科技快讯
- 1问界商标转让释放信号:赛力斯 95792
- 2报告:抖音海外版下载量突破1 25736
- 3人类唯一的出路:变成人工智能 25175
- 4人类唯一的出路: 变成人工智 24611
- 5移动办公如何高效?谷歌研究了 24309
- 6华为 nova14深度评测: 13155
- 7滴滴出行被投诉价格操纵,网约 11888
- 82023年起,银行存取款迎来 10774
- 9五一来了,大数据杀熟又想来, 9794
- 10手机中存在一个监听开关,你关 9519
