6名治疗对象全部死亡,为什么还说这是里程碑?
致死率 100% 的病原体是什么样的?
1982 年,美国生化学家史坦利·布鲁希纳发现了朊病毒这一全新的传染性致病物质,从而揭开了一系列罕见神经系统疾病的病因。然而,在之后的几十年里,对于这一必死的绝症人类依然束手无策。
最近,刚刚上线 The Lancet Neurology 的一篇论文,报告了世界首个人类朊病毒病治疗项目的结果。而这项治疗使用的,是首个针对朊病毒特性的药物——单克隆抗体 PRN100。

图源:The Lancet Neurology 截图
食人的诅咒
20 世纪 50 年代,美国流行病学家丹尼尔·卡尔顿·盖杜谢克正在巴布亚新几内亚进行研究。彼时,当地的土著民族法雷人中,正流行一种诡异的疾病——
患者起初出现震颤、共济失调和姿态不稳等运动神经症状,随后会在数月内因不自主的肌肉运动和运动神经症状加重而失去行走能力,最后陷入痴呆状态,因肺炎等并发症而死[1]。
由于这一疾病最显著的特征是难以控制的震颤,因此,最早来到当地的欧美医生们将其称为「库鲁病」(kuru 是法雷人语言中对寒战的描述)[2]。

一位罹患晚期库鲁病的儿童图:参考文献 3
流行病学家丹尼尔敏锐地发现,库鲁病更常流行于女性族人和她们抚养的幼儿之间。而在当地,有一种在葬礼上食用逝者尸体的「习俗」,只有女性会食用逝者的大脑等内脏组织[4]。
根据这些资料,丹尼尔认为,导致库鲁病的很可能是一种传染性病原体,且这种病原体主要感染患者的内脏组织。
20 世纪 60 年代,丹尼尔回到美国后,继续库鲁病研究。他尝试把库鲁病患者脑组织制成溶液,注射进黑猩猩的脑部。果然,黑猩猩在经历了 18~30 个月的潜伏期后,出现了和库鲁病患者类似的症状,并在数月后几乎全部死亡。
丹尼尔又将死亡黑猩猩的脑组织同样制成溶液,注射给其他健康黑猩猩,结果发现,相同的情况再次出现了。
针对这些黑猩猩的尸检表明,它们的大脑病变特征与库鲁病患者非常相似[6]。这一实验基本可以确定,库鲁病是一种可通过患者脑组织传播的传染性疾病。
那么,导致库鲁病的到底是什么样的病原体?
在丹尼尔的研究之后,世界各国的研究人员陆续发现了多种和库鲁病相似的疾病——他们的症状类似,潜伏期长且同样找不到病原体,同时还是一种「传染性脑病」,其中就包括了克雅病、羊瘙痒病和传染性水貂脑病。
最开始,研究人员大多认为这些疾病由一种「迟发性病毒」引起。然而,1982 年美国生化学家史坦利·布鲁希纳(Stanley Prusiner)成功分离出了导致克雅氏病的致病因子,并将其命名为朊病毒(Prion),人们这才发现,所谓的「迟发性病毒」是一种单纯的传染性蛋白质,不含有病毒所具有的核酸。
随后,克雅病、库鲁病等疾病的病原也被逐一证实,均为朊病毒。
两派治疗思路,难解必死绝症
朊蛋白(prion protein, PrP)是许多哺乳动物体内存在的正常蛋白质,人体朊蛋白由 20 号染色体 PRNP 基因编码,主要表达于脑组织。
与绝大多数蛋白质一样,朊蛋白会折叠形成不同构型。它的正常形态 PrPc 是一种可溶性蛋白,但当它因为各种原因折叠错误的时候,形成的构型 PrPsc 能够促使周围朊蛋白按照相同方式错误折叠,导致错误构型的朊蛋白——即所谓朊病毒。
这一反应会迅速扩散,使细胞内沉积大量不可溶的朊病毒,最终导致细胞病变、死亡[10],损伤动物和人体神经系统。

朊病毒的致病过程
图:Thermo Fisher Scientific
根据目前的研究,累及人类的朊病毒病包括克雅病、库鲁病、家族性致死性失眠症和 Gerstmann-Sträussler-Scheinker 综合征。而目前,这些疾病的致死率无一例外都是 100%。
更糟糕的是,朊病毒病具有较长的潜伏期(家族性致死性失眠症的潜伏期可达 50 年以上),且相当一部分为遗传性疾病。这意味着,诸多朊病毒携带者将在死亡阴影下生活数十年之久。
如何攻破这一必死绝症?在朊病毒病治疗的研究中,目前大致分为两个「派系」。
其中,一大「派系」主张通过神经保护疗法来保护已被朊病毒感染的细胞,阻止朊病毒沉积带来的细胞损伤,进而达到延缓朊病毒病进程的目的。
在这一策略的影响下,细胞保护药物氟吡汀和抗炎药物多西环素都曾进入了临床试验阶段。
体外研究曾发现,氟吡汀可通过增加细胞抗凋亡能力、拮抗谷氨酸的神经毒性,从而对感染朊病毒的神经细胞具有一定的保护效应[11]。
一项德国的临床研究曾纳入 28 例克雅病患者,将他们随机分配至氟吡汀治疗组或安慰剂组,但遗憾的是,氟吡汀对患者的生存期并没有任何影响,对患者生活质量的改善也未达到统计学意义[12],且该药物存在较为严重的肝脏毒性,研究人员最终放弃了对氟吡汀的进一步开发。
而抗炎药物多西环素在临床应用多年,是治疗多种炎性皮肤病和牙周疾病的重要药物。根据朊病毒可能引起神经炎症的猜想,多项观察性研究尝试使用多西环素治疗克雅病。
但是,这些研究之间结果的相互矛盾使多西环素的有效性一直饱受质疑[13]。目前仍有大规模临床试验探讨多西环素对克雅病的治疗作用,但研究结果尚未发表。
另一大「派系」则主张使用药物直接干扰朊病毒的致病过程,或预防遗传性朊病毒病患者体内朊病毒的合成,这也是目前最受欢迎、研究最多的一类疗法。
在早期研究中,科研人员曾尝试使用干扰淀粉样物质形成的化合物(朊病毒与淀粉样蛋白存在诸多相似之处)来抑制朊病毒在细胞内的沉积,可惜此类研究多数连动物实验都未能通过,或因毒性太大而不可能用于临床。
在近年来的研究中,科研人员开始尝试使用药物来降解细胞内已经合成的朊病毒、使用单克隆抗体来阻止朊蛋白本身与朊病毒的结合过程,或者直接抑制人体细胞内天然朊蛋白的合成(朊蛋白在细胞中一般被认为属于「可有可无」的蛋白)。
在广为流传的朊病毒领域「神雕侠侣」的故事中,科学家 Eric Minikel 和 Sonia Vallabh 正是使用了反义寡核苷酸抑制天然朊蛋白的合成,以尝试预防致死性家族性失眠症的发病。(点击查看丁香园往期文章《半路辞职学医:27 岁患上必死绝症,哈佛学霸夫妻逆天改命》)
然而,这些设想一部分折戟于动物研究,另一部分仍处于早期研究阶段,尚无人体临床试验的报道。
柳叶刀最新研究,到底意味着什么?
那么,这次柳叶刀的重磅研究是否带来了新的希望?
在这项治疗项目中,来自伦敦大学学院的研究团队使用了 PRN100 来治疗克雅病患者。
PRN100 是一种通过基因工程合成的人源化单克隆抗体,可以结合细胞中的朊蛋白并将其稳定在天然朊蛋白(PrPc)构象,阻止朊病毒与天然朊蛋白(PrPc)的结合,阻断朊病毒的致病过程。

抗朊蛋白单克隆抗体的作用机理
图:参考文献 15
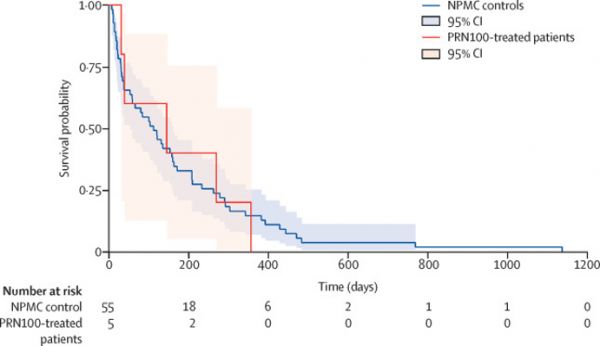
这项治疗项目纳入了 5 名特发性克雅病患者和 1 名医源性克雅病患者。给药后,研究人员采集了患者的脑脊液,来评估 PRN100 的药代动力学情况,并将患者病情进展情况与过去未经疾病特异性疗法治疗的克雅病患者进行对比,以此来评估 PRN100 的疗效。在部分死亡患者中,研究人员还尸检评估了 PRN100 对感染脑组织的作用。
论文报告了以下几项重要结果:
1、PRN100 在给药后可以快速、稳定地进入脑脊液,并且在中枢神经系统内达到了目标浓度(即研究推测的有效浓度);
2、PRN100 的安全性数据良好,患者普遍可以耐受其治疗;
3、3 例患者在脑脊液中 PRN100 浓度 ≥50nM(即目标浓度)时,MRC 朊病毒病评分量表的评分下降速度得以延缓,1 例医源性克雅病患者的生存期相较对照组得以延长。
但遗憾的是,这 6 名患者最终仍因病情进展去世。
随后,研究人员对患者进行尸检发现,一例医源性克雅病患者的大脑中顶叶和枕叶皮质的朊病毒沉积被部分清除,且在多处脑血管中出现了无症状性淀粉样脑血管病变,这名患者此前在接受治疗时脑脊液 PRN100 浓度峰值达到 121nM,这些发现提示 PRN100 在脑组织中引起了针对朊蛋白的免疫反应。
而在另一例特发性克雅病患者中(脑脊液 PRN100 浓度峰值为 16nM),以及其他历史对照患者中,均没有发现上述变化。这提示,在剂量合适的情况下,PRN100 具有逆转朊病毒所致病理性改变的潜力。

PRN100 治疗的特发性克雅病患者和历史对照组的生存情况对比
图:参考文献 14
这项研究,在朊病毒病的治疗领域具有里程碑式的意义。
首先,研究人员成功将直接抗朊病毒治疗策略转化成了人体临床试验所使用的药物,并证明了其安全性;
其次,这款药物在治疗项目中展现出了一定的疗效,且病理学证据也为药物进行进一步研究提供了依据;
同时,研究还观察到药物可能拥有逆转朊病毒所致脑部病变的潜力,这意味着,PRN100 可能也具有预防遗传性朊病毒病患者发病的潜力。
不过,这项研究也存在明显的局限性。
研究的总体样本量相对其他朊病毒病研究较为有限,且使用了历史对照数据而非安慰剂对照组,这些因素都影响了研究对药物疗效的评估。此外,PRN100 对特发性克雅病患者生存期的影响也未能在这项研究中明确。
德国哥廷根大学医疗中心神经内科 Inga Zerr 教授在随本研究刊出的评论[16]中表示,这项关于 PRN100 的研究结果「令人期待已久,且十分鼓舞人心」,但她同时表示,这项研究存在病例数较少和使用历史对照等局限性,「这些结果是非常初步的」。
领导 PRN100 研发的伦敦大学学院 MRC 神经学家 John Collinge 教授表示:「虽然我们治疗的患者数量太少,且无法确定该药是否改变了疾病的进程,但这项研究仍然是针对朊病毒感染的重要一步。」
Collinge 还表示,未来希望该药物也有可能应用于更常见的神经性疾病,如阿尔茨海默症。
「达到这一里程碑是一项巨大的挑战,我们还有很长的路要走,但我们学到了很多,这些结果证明了在更多患者中开展正式临床试验的合理性。」Collinge 说。
而研究论文也写道,基于目前的研究数据,建议可开展一项 II 期临床研究,通过纳入疾病初期患者、采取更合理药物剂量的治疗方案,以进一步评估该药物在克雅病等朊病毒病的治疗中的作用。
此外,考虑到全球范围内有大量人群曾经暴露于朊病毒(如医疗操作或实验室意外)或携带遗传性朊病毒病基因,论文还认为,可开展评估 PRN100 在该类人群中用于朊病毒病二级预防的临床研究,从而使这一潜在的突破性疗法造福更多患者。(策划:z_popeye、监制:gyouza)
致谢:本文经 药物研发工作者 Klaith 专业审核
【注】药物研发工作者 Klaith 审核意见
我多年前曾遇过克雅氏症患者,其病情进展之快、之凶,至今记忆犹新。
伦敦大学学院研究人员使用朊蛋白单克隆抗体 PRN100 试验性治疗克雅氏症患者,是人类首次直接针对病因的干预尝试。尽管药物安全性良好,在患者脑脊液中可以达到预期浓度,但由于样本量过小,无从评估临床疗效。 同一期《柳叶刀》评论指出,多种原因阻碍克雅氏症难以开展传统临床试验: 缺乏疗效评估手段; 疾病进展快速; 罕见病; 招募患者困难; 以及临床特征可能受多因素影响。
PRN100 从诞生到首次应用人体历时约二十年,足见该领域新药研究举步维艰。近年新药物类型(如反义寡核苷酸)、诊断指标(如 RT-QuIC)等技术发展,希望能够吸引多方投入资源,共同参与该类型疾病的药物研发工作。
参考文献
[1]Gajdusek DC. Infectious amyloids: Subacute spongiform encephalopathies as transmissible cerebral amyloidoses. In: Fields Virology, 3rd ed, Fields BN, Knipe DM, Howley PM (Eds), Lippincott-Raven, New York 1996. p.2851.
[2]Gajdusek DC, Alpers MP, Gibbs CJ, Jr. Kuru: Epidemiological and virological studies of unique New Guinean disease with wide significance to general medicine. In: Hornabrook R.W., editor. Essays on Kuru. E.W. Classey Ltd.; Faringdon, UK: 1976. pp. 125–145.
[3]Liberski PP. Kuru: a journey back in time from papua new Guinea to the neanderthals' extinction. Pathogens. 2013;2(3):472-505. doi: 10.3390/pathogens2030472
[4]Alpers MP. Review. The epidemiology of kuru: monitoring the epidemic from its peak to its end. Philos Trans R Soc Lond B Biol Sci. 2008;363(1510):3707-13. doi: 10.1098/rstb.2008.0071
[5]ZIGAS V, GAJDUSEK DC. Kuru: clinical study of a new syndrome resembling paralysis agitans in natives of the Eastern Highlands of Australian New Guinea. Med J Aust. 1957;44(21):745-54. doi: 10.5694/j.1326-5377.1957.tb60287.x
[6]Gajdusek DC, Gibbs CJ Jr, Alpers M. Transmission and passage of experimenal "kuru" to chimpanzees. Science. 1967;155(3759):212-4. doi: 10.1126/science.155.3759.212
[7]Gajdusek DC. Unconventional viruses and the origin and disappearance of kuru. Science. 1977;197(4307):943-60. doi: 10.1126/science.142303
[8]Alper T, Cramp WA, Haig DA, et al. Does the agent of scrapie replicate without nucleic acid? Nature. 1967;214(5090):764-6. doi: 10.1038/214764a0
[9]Prusiner SB. Novel proteinaceous infectious particles cause scrapie. Science. 1982;216(4542):136-44. doi: 10.1126/science.6801762
[10]Prusiner SB. Molecular biology of prion diseases. Science. 1991;252(5012):1515-22. doi: 10.1126/science.1675487
[11]Perovic S, Schröder HC, Pergande G, et al. Effect of flupirtine on Bcl-2 and glutathione level in neuronal cells treated in vitro with the prion protein fragment (PrP106-126). Exp Neurol. 1997;147(2):518-24. doi: 10.1006/exnr.1997.6559
[12]Otto M, Cepek L, Ratzka P, et al. Efficacy of flupirtine on cognitive function in patients with CJD: A double-blind study. Neurology. 2004;62(5):714-8. doi: 10.1212/01.wnl.0000113764.35026.ef
[13]Varges D, Manthey H, Heinemann U, et al. Doxycycline in early CJD: a double-blinded randomised phase II and observational study. J Neurol Neurosurg Psychiatry. 2017;88(2):119-125. doi: 10.1136/jnnp-2016-313541
[14]Mead S, Khalili-Shirazi A, Potter C, et al. Prion protein monoclonal antibody (PRN100) therapy for Creutzfeldt-Jakob disease: evaluation of a first-in-human treatment programme. Lancet Neurol. 2022;21(4):342-354. doi: 10.1016/S1474-4422(22)00082-5
[15]Enari M, Flechsig E, Weissmann C. Scrapie prion protein accumulation by scrapie-infected neuroblastoma cells abrogated by exposure to a prion protein antibody. Proc Natl Acad Sci U S A. 2001;98(16):9295-9. doi: 10.1073/pnas.151242598
[16]Zerr I. Investigating new treatments for Creutzfeldt-Jakob disease. Lancet Neurol. 2022;21(4):299-300. doi: 10.1016/S1474-4422(22)00083-7
本文来自微信公众号 “丁香园”(ID:dingxiangwang),作者:方婧玉,36氪经授权发布。
相关推荐
6名治疗对象全部死亡,为什么还说这是里程碑?
人工智能的“死亡算法”:机器帮助人类理解死亡
地球也有“死亡”的那一天
FDA首次批准用它治疗疼痛,VR凭什么?
“脑起搏器”:治疗抑郁症的“新神器”
【虎嗅早报】快手IPO筹资额或超480亿港元;加拿大研究者称:秋水仙碱在新冠治疗试验中产生积极效果
世界基因编辑里程碑事件,「CRISPR」首次直接用于人体临床实验
悉达多·穆克吉对谈尹烨:基因科技与疾病治疗
最前线丨信达生物股价上涨6.45%,将与罗氏集团合作开发肿瘤治疗新产品
治疗方案惊现“脑白金”?权威解读特朗普的处方药
网址: 6名治疗对象全部死亡,为什么还说这是里程碑? http://www.xishuta.cn/newsview60850.html
推荐科技快讯
- 1问界商标转让释放信号:赛力斯 95792
- 2报告:抖音海外版下载量突破1 25736
- 3人类唯一的出路:变成人工智能 25175
- 4人类唯一的出路: 变成人工智 24611
- 5移动办公如何高效?谷歌研究了 24309
- 6华为 nova14深度评测: 13155
- 7滴滴出行被投诉价格操纵,网约 11888
- 82023年起,银行存取款迎来 10774
- 9五一来了,大数据杀熟又想来, 9794
- 10手机中存在一个监听开关,你关 9519
