“RNA世界学说”中的主角到底有多厉害?
本文来自微信公众号:科学大院(ID:kexuedayuan),作者:李颉(中国科学院青岛生物能源与过程研究所),头图来自unsplash
在浩瀚无边的宇宙中,尘埃、星云在漫无目的地游荡,星球按照自己的轨迹日复一日、年复一年地运转。这宇宙似乎是如此的孤寂,除了那颗湛蓝的星球,它是那么的与众不同,因为它孕育着千姿百态的生命。我们总会在仰望星空,细听蝉鸣蛙叫的时候问道:生命的起源是什么?
在对生命起源的探索过程中,最难以捉摸的是遗传物质的出现。四十亿年前,古地球的“原始汤”随周遭环境变化发生了一系列化学反应,最终产生了某种成为如今绚烂多彩的亿万生命起点的物质。多年来,科学家们一直在探索,承担“生命起点”这一伟大使命的物质是一种什么形式?它,又是从何时、何地、因何种契机出现的呢?

探索生命起源(图片来源:作者绘制)
生命可能起源于RNA?
关于生命起源的猜测有很多,其中沃特·吉尔伯提出的 “RNA世界学说”得到了诸如克里克等人的支持。RNA世界学说认为:生命最初可能是以RNA的形式出现,随着环境的改变,进化出现了如今的DNA和蛋白质。最初的RNA具有与如今DNA分子一般的储存遗传信息的功能,以及如蛋白酶一般的催化功能,为早期的细胞或者生命运动提供了一切所需的前提条件。

一个假想RNA世界的起源模式(图片来源:百度百科)
很多科学家对“RNA世界学说”坚信不疑,因为现存生命的一些迹象表明RNA可能是更为古老的生物大分子。
在如今生物世界的核心——中心法则中,RNA占据了中心位置,起到了“承上启下”的桥梁作用;
根据演化由简单到复杂的规律,具有更为简单结构的RNA很可能是生物大分子的起源;
RNA功能多样,能够承担DNA遗传信息载体的功能(如:复制)以及蛋白质的生命执行功能(如:催化);
DNA的合成也离不开RNA的协助。
可以看到,种种迹象都在提示我们一种可能性:RNA是生命的起点。
作为原始遗传物质的必备“技能”
RNA的“存储技能”
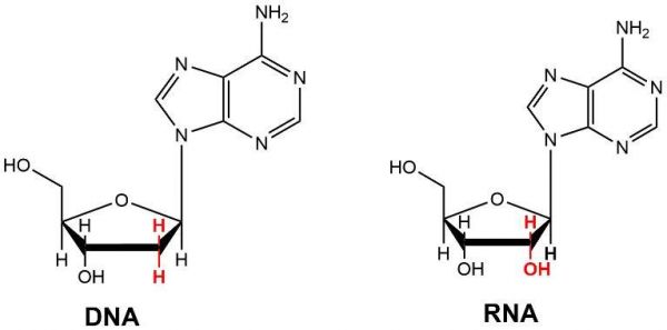
RNA在结构上与DNA十分相似,而且也能够进行自我复制,这使得二者对于遗传信息的存储是类似的。在“RNA世界学说”中,它之所以被认为是生命的起点物质,主要是因为在生物合成途径上的先后顺序——从化学角度以及分子结构来看,DNA与RNA的差别就在于羟基(-OH)的有无,可以认为DNA是通过移除RNA上的羟基所形成的。所以,很多科学家就认为,合成DNA的前提是RNA能够先在细胞中生成。

DNA(脱氧核糖核苷酸)和RNA(核糖核苷酸)结构式(图片来源:作者绘制)
RNA通常以较为简单的单链形式呈现,这种结构使得它就像初生没有完全发育的幼鸟,它掌握的技能不多也不够精确,但它对一切充满好奇,“性格活泼”但又 “体质”虚弱,所以面对外界环境的冲击比较容易受到“伤害”,稍有不慎可能半路“夭折”——被降解。
然而,这并没有限制住RNA储存遗传信息的能力。作为结构简单的“新生儿”它具有无限可能,通过环境的塑造,它可以做出各种改变,这也使得进化成为可能。从进化的角度看,简单的分子总是最先出现,从不稳定向更稳定的方向进化,从功能简单广泛向专一化发展,所以RNA可能是先于DNA出现的遗传物质。
RNA的“催化技能”
具有催化能力的RNA,被称作核酶。如今已知的天然RNA催化剂大部分参与RNA的加工从而形成成熟的RNA分子。核糖体RNA(rRNA)和核糖核酸酶P(RNase P)便是具有催化能力的RNA,即核酶。
rRNA是核糖体的组成成分之一,除此之外还有核糖体蛋白质。其中rRNA在所有活细胞中都有发现,它负责催化,将所有的氨基酸元件一个接一个的按照模板组装,形成具有特定功能的蛋白质。
RNase P,是蛋白质以外第一个被发现具有催化能力的分子。最开始,人们发现有一种RNA能够给自己进行“化妆”,通过修改自己的结构让自己以更“完善”的形式存在于细胞中。后来,又发现有的RNase P还十分的乐于助“人”,通过对一些不能产生蛋白质的RNA进行“打扮”,使它们能够以更有效的状态去行使其它功能。比如说:tRNA(转运RNA)作为体内重要的一类RNA分子,其“初生”链的两端(5’和3’端)是一种不成熟的状态,其5’端就需要RNaseP进行“打扮”才能以一种“成熟”的姿态隆重出场!

RNaseP对tRNA前体进行“打扮”——剪切5’末端,成为“成熟”的tRNA行使转运氨基酸的功能(红色箭头为识别剪切位点)(图片来源:作者绘制)
RNA的“调控技能”
核糖开关是mRNA(信使RNA,蛋白质合成模板)上无法产生蛋白质的一些序列,在这些位置存在一个区域叫做“适体域”可以结合一些小分子配体。与配体结合后,核糖开关序列会像变形金刚一样“折叠”、“变形”,从简单的单链状态变为另一种形状。折叠后的序列会改变与下游RNA相互作用的状态,有的可能会使结合更加“密不可分”,有的可能会从此“分道扬镳”,以此达到在翻译水平调控的目的。

核糖开关示意图(图片来源:作者绘制)
RNA温度计是一类对温度敏感的RNA,这部分RNA通常不能用来产生蛋白质,但是能随温度变化调控基因表达。这个调控功能的发挥一般是某一部分的RNA序列结构对温度变化做出反应,通过“变形”使RNA上核糖体结合位点等重要区域被暴露或遮蔽,进而改变对相应基因的可及性,从而产生蛋白质生成速率有快有慢的不同结果。
比如说,在一种能够引起流感的利斯特菌中,其mRNA的某一部分在非体温环境下会折叠成扁平的发夹状结构,从而导致蛋白表达不发生;但是一旦在人体正常温度37℃左右的条件下,该菌株中的这种RNA的发夹结构会改变,使得“障碍物”消失,蛋白表达正常进行,进而导致疾病发生。
所以,我们或许可以做出这样的假设:最初,生命起源于RNA,随着进化的发生,逐渐产生了DNA分子和蛋白质分子。其中,结构更加稳定的DNA分子履行信息的储存功能,而专门催化具有酶活性的蛋白质取代了催化功能,构成了现代生命体系的架构。
从中心法则出发:“夹心”不好做

中心法则(图片来源:作者绘制)
从1961年Jacob和Monod证明在DNA和蛋白质中的“夹心”是mRNA起,中心法则日趋完善:遗传信息储存在能够自我复制的DNA中,通过转录将信息传递到了RNA,最后翻译形成了生命功能的执行者——蛋白质,虽然RNA也能够自我复制,并且逆转录形成DNA,但信息传递的起点是从DNA开始,到蛋白质结束。
直至今日,RNA的地位似乎都有些“不上不下”的尴尬,在DNA和蛋白质面前都显得“低人一等”:大多数生命将遗传物质储存在DNA中,而生命活动的直接执行者是蛋白质 。
然而,从RNA世界假说的众多迹象来分析,RNA很可能是大BOSS级别的存在。因为在地球生命诞生伊始,它很可能是生物大分子的起源。即使在经过漫长的进化的如今,它的作用仍是举足轻重。没有它,DNA的遗传信息没法继续流传;没有它,蛋白质无法合成。或许,一切都是RNA一手操控,DNA只是它的“傀儡”,而蛋白质是它的阵前大将军!
缘来“饰”你——RNA修饰

常见的RNA修饰类型(图片来源:作者绘制)
其实,即使作为“夹心”,RNA也是不可或缺的一员,毕竟,它实在是“牵一发而动全身”的典型啊,稍加修饰,结局就可能会被改写。
所谓RNA修饰,就像人们在不同场合穿不同衣服,画不同妆容一样,就是对RNA分子进行一些小小的改动,或许是直接改变外表“服饰”,或许是添加一点“装饰品”等等。
近年来,多种RNA修饰陆续被研究者发现,如:6-甲基腺嘌呤(m6A)、5-甲基胞嘧啶(m5C)、假尿嘧啶(Pseudo U)等,它们都具有十分重要的功能。比如说:m6A修饰在神经系统的发育以及功能的行使中发挥不可替代的调控作用,并且能够调控造血干细胞的定向分化,当某段特定的RNA序列有m6A修饰时,生物体能够正常发育,若缺少修饰,可能会导致神经系统发育不完善、功能不全等后果。
随着对RNA修饰的研究逐渐深入,人们对转录后调控也有了更多的了解,RNA表观遗传学也越发兴起。表观遗传就是指:在基因的序列不变的前提下,基因的转录或者表达出现了差异,继而形成不同类型的组织、细胞,不同的修饰会在不同的生理过程中发挥不同的功能。小小的改变产生大大的不同,实在是“细节决定成败”啊!
写在最后
生命的起源问题是人们无穷无尽的好奇心的发源地,它就像是一个永恒的问题制造机,不断抛出诱饵,驱使我们去探索、去辩论、去研究!RNA世界假说、小行星假说、神创论等等,至今仍然没有定论,有的研究人员通过研究提出RNA和DNA可能最初是以一个整体的形式存在的,后来才分开履行各自的功能;也有的研究人员提出,最初的起点或许不是中心法则中的任何一种物质,而是硫脲(CH4N2S)这种含硫化学物质……
一切的一切,正如一些科学家所说的那样:“在生命起源问题上打上一个句号本身就是对这个问题的轻视。”
这个世界的真相有待我们进一步去追寻……
本文来自微信公众号:科学大院(ID:kexuedayuan),作者:李颉,中国科学院青岛生物能源与过程研究所)
相关推荐
“RNA世界学说”中的主角到底有多厉害?
TikTok在国外究竟有多厉害?
把游戏变成现实,光线追踪技术到底有多神?
Wi-Fi 6 到底有多溜
200秒完成6亿年工作,“九章”到底有多牛?
搞自动驾驶到底有多贵?一台行走的钞票粉碎机
语音助手到底有多鸡肋?网友:买回来没用过
超级观点 | 数字人首登《时代周刊》,虚拟产业的想象力到底有多大?
自动化的难题:没人知道波音737 Max到底有多危险
神助攻or猪队友:靠AI“僚机”脱单到底有多难?
网址: “RNA世界学说”中的主角到底有多厉害? http://www.xishuta.cn/newsview25272.html
推荐科技快讯
- 1问界商标转让释放信号:赛力斯 95792
- 2报告:抖音海外版下载量突破1 25736
- 3人类唯一的出路:变成人工智能 25175
- 4人类唯一的出路: 变成人工智 24611
- 5移动办公如何高效?谷歌研究了 24309
- 6华为 nova14深度评测: 13155
- 7滴滴出行被投诉价格操纵,网约 11888
- 82023年起,银行存取款迎来 10774
- 9五一来了,大数据杀熟又想来, 9794
- 10手机中存在一个监听开关,你关 9519
