DeepSeek开源新模型,数学推理能力大提升
赶在五一假期前夕,DeepSeek给我们送出一份惊喜大礼。
延续一贯的开源节奏,DeepSeek在Hugging Face正式发布DeepSeek-Prover-V2,并同步上线模型卡及示例代码。此次共推出两个版本:
DeepSeek-Prover-V2-7B:基于上一代V1.5模型,支持最长32K上下文输入;
DeepSeek-Prover-V2-671B:在DeepSeek-V3-Base基础上训练,推理性能最强。

*核心贡献者†在DeepSeek-AI实习期间完成的工作
据官方论文披露,DeepSeek-Prover-V2的训练核心是“递归+强化学习”的组合:即先由DeepSeek-V3拆解复杂定理,生成一系列子目标和推理思路;再通过GRPO算法,从多种候选方案中自动学习如何选出最优解。
模型特别引入了两种互补的“解题风格”:
快速模式(non-CoT):专注于速度,像是一位熟练工匠,直接生成精炼的Lean代码答案,不展示思考过程,适合处理大量题目。
逻辑模式(CoT):更像一个耐心的数学老师,会详细列出每一步推理过程,确保逻辑清晰、思路透明。
训练过程分为两阶段,在第一阶段,研究人员主要训练快速模式,采用“专家迭代”方法:模型先尝试解决难题,成功的答案再作为新数据反哺模型,不断打磨自己的能力。
待快速模式趋于稳定后,研究人员进入第二阶段,开始训练更复杂的逻辑推理能力。他们将DeepSeek-V3的数学知识迁移到新模型中,并结合形式化数据,引入“冷启动”机制,构建起更复杂的推理路径。

为了进一步提升推理能力,研究人员引入了GRPO的强化学习算法,不同于传统的PPO,它直接在多个候选答案中比较优劣,引导模型自主学会选择最优解。
具体做法是:每次输入一个定理,系统会生成32个不同的证明方案,然后只保留被Lean验证系统判定为“正确”的答案(奖励1分,否则0分),这样模型就能在高质量反馈中不断进化。
在开发出性能强大的671B模型后,DeepSeek研究团队又尝试把这些能力“蒸馏”到更小的7B模型中,而整个过程就像是师傅教徒弟:
先用大模型生成解题过程,再教会小模型理解并复现;同时将小模型输入长度扩展至与大模型一致,并经历相同的强化训练。
这样,即便在资源有限的设备上,用户也能使用小体积模型获得接近大模型的数学推理能力,并根据需求选择快速或详细解题风格。

在整个体系中,DeepSeek-V3负责拆解复杂定理,生成自然语言的推理草图,同步转译为Lean语言表示的一系列子目标,并生成“思路链”作为中间引导。
7B模型再一步步完成子证明,最终拼接成完整推理。这种“模糊思考+精确证明”的训练机制,有效提升了小模型的数学理解深度。

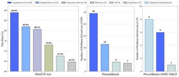
在最终性能评估中,DeepSeek-Prover-V2-671B在MiniF2F测试中实现了88.9%的通过率,成功解出PutnamBench数据集中的49道难题。
与此同时,DeepSeek还同步推出了一个全新的数学形式化数据集ProverBench,共包含325道问题题目。涵盖:
AIME竞赛题(15题);
数论、代数、线性代数、微积分、实分析等多个方向。

这一数据集不仅包含真实的高中竞赛题目,还涵盖从基础代数、实变分析到概率论等多个本科阶段知识点,能够系统评估模型在不同数学领域的推理能力。
结果显示,在15道AIME竞赛题中,DeepSeek-Prover-V2成功解出其中6道,而DeepSeek-V3使用多数投票方式(majority voting)则解决了8道。
按照官方说法,这组对比凸显出一个重要趋势:大型语言模型在“非正式数学推理”和“正式数学推理”之间的表现差距正在明显缩小。
非正式数学推理:指模型像人类一样用自然语言思考、理解并解答数学题,比如我们日常说“这道题怎么算?”的方式。它更灵活、不需要严格的逻辑形式。
正式数学推理:指模型能用像Lean这样的形式语言,写出符合数学逻辑、可被验证器检验的严谨证明。它像数学论文中的证明,强调每一步推理都必须严格准确。
换句话说,过去模型更像是“会算但不会写出严谨证明”。而现在,在模型结构和训练策略不断演进下,语言模型也逐步学会了写出规范、可验证的数学证明。
此外,DeepSeek宣布新模型的使用将遵循其公开许可证。
目前,Prover-V2系列已可通过Hugging Face平台免费下载,并支持Transformers接口部署。Novita AI是首批上线Prover-V2-671B推理服务的第三方提供商,我们也借此测试了一些问题。

经典的“一根5.5米长的竹竿可以通过高4米宽3米的门吗?”很遗憾,结果它没答对。

对于这道抽象代数,它的回答不仅正确,还能从基本定义出发,解释什么是群同态、Z₁₂和Z₄的含义,以及同态的运算规则,显然,这对于初学者很友好。

从论文所透露的方向来看,DeepSeek-Prover-V2给出的不仅是数学答案,更指明了语言模型下一阶段的可能路径。
如果说过去我们关心的是大模型“能说什么”,那么在Prover-V2身上,我们得需要关注它“能证明什么”。
数学只是切入口,推理才是DeepSeek这次真正下注的方向。
从生成内容迈向生成结构化逻辑,这条路线不够性感,也不容易讲故事,却可能最早触碰通用人工智能的底层结构。
毕竟,AI可以不懂人情世故,但它必须学会推理,因为任何知识系统的边界,归根结底都是逻辑能否闭环,以及推理能否成立。
最后附上相关地址:
1. DeepSeek-Prover-V2-7B HuggingFace地址:
https://huggingface.co/deepseek-ai/DeepSeek-Prover-V2-7B
2. DeepSeek-Prover-V2-671B HuggingFace地址:https://huggingface.co/deepseek-ai/DeepSeek-Prover-V2-671B
3. DeepSeek-ProverBench HuggingFace地址:https://huggingface.co/datasets/deepseek-ai/DeepSeek-ProverBench
4. DeepSeek-Prover-V2GitHub地址:
https://github.com/deepseek-ai/DeepSeek-Prover-V2
本文来自微信公众号:APPSO (ID:appsolution),作者:Prover
相关推荐
DeepSeek开源新模型,数学推理能力大提升
DeepSeek新模型大揭秘,为何它能震动全球AI圈
DeepSeek R2来了?联合清华大学发布推理时Scaling突破性论文
DeepSeek大模型专家交流
方舟健客全面接入deepseek开源大模型,引领互联网医疗新变革
DeepSeek V3模型低调升级:编码能力跃升,对话交互更趋“人性化”
为什么没人说DeepSeek的数学和代码?
多个中国平台,集中上线DeepSeek大模型
阿里、百度、腾讯官宣!上线DeepSeek大模型
大模型专家解读Deepseek
网址: DeepSeek开源新模型,数学推理能力大提升 http://www.xishuta.cn/newsview135539.html
推荐科技快讯
- 1问界商标转让释放信号:赛力斯 95792
- 2报告:抖音海外版下载量突破1 25736
- 3人类唯一的出路:变成人工智能 25175
- 4人类唯一的出路: 变成人工智 24611
- 5移动办公如何高效?谷歌研究了 24309
- 6华为 nova14深度评测: 13155
- 7滴滴出行被投诉价格操纵,网约 11888
- 82023年起,银行存取款迎来 10774
- 9五一来了,大数据杀熟又想来, 9794
- 10手机中存在一个监听开关,你关 9519
