OpenAI与DeepMind的Scaling Laws之争
在大语言模型中,我们期望模型能够理解人类语言的一般规律,从而做出和人类相似的表达方式,通常使用大量的数据进行训练来实现这一目标。在训练预训练模型时,有两个可以提高语言模型性能的选项:增加数据集大小和增加模型中的参数量。
在此基础上,训练过程中还存在一个限制条件,即训练成本,比如GPU的数量和可用于训练的时间等。因此,大语言模型的预训练,通常伴随着模型容量、数据量、训练成本的三方权衡博弈。

Figure 1. 模型规模扩展的选项概览
什么是Scaling Laws
对于这种三角形式的拔河关系,往往存在一些三元悖论,比如分布式计算领域中的公认定理:CAP理论。分布式系统不可能同时满足一致性、可用性和分区容错性,最多只能同时满足其中2个条件。大语言模型训练中同样存在这种三元关系的探索,这就是缩放定律(Scaling Laws)。
在大语言模型预训练过程中,交叉熵损失(cross-entropy loss)是一种常用的性能衡量标准,用于评估模型预测输出与真实情况之间的差异。较低的交叉熵损失意味着模型的预测更准确。训练的过程也是追求损失值最小化的过程。
Scaling Laws的意义在于,AI专业人士可以通过它来预测大模型在参数量、数据量以及训练计算量这三个因素变动时,损失值的变化。这种预测能帮助一些关键的设计决策,比如在固定资源预算下,匹配模型的最佳大小和数据大小,而无需进行昂贵的试错。
OpenAI V.S DeepMind
NO.1 DeepMind
We’re a team of scientists, engineers, ethicists and more, committed to solving intelligence, to advance science and benefit humanity.
—— DeepMind
DeepMind,成立于2010年并于2015年被谷歌收购,是Alphabet Inc.的子公司。该公司专注于开发能模仿人类学习和解决复杂问题能力的AI系统。作为Alphabet Inc.的一部分,DeepMind在保持高度独立的同时,也在利用谷歌的强大能力推动AI研究的发展。
DeepMind在技术上取得了显著成就,包括开发AlphaGo,击败世界围棋冠军李世石的AI系统,展示了深度强化学习和神经网络的潜力,开启了一个AI时代。
另一项重要成就是AlphaFold,这是一个革命性的用于准确预测蛋白质折叠的工具,对生物信息学界产生了深远影响。DeepMind用AI进行蛋白质折叠预测的突破,将帮助我们更好地理解生命最根本的根基,并帮助研究人员应对新的和更难的难题,包括应对疾病和环境可持续发展。
NO.2 OpenAI
“Our mission is to ensure that artificial general intelligence, AI systems that are generally smarter than humans,benefits all of humanity.”
——2023年2月14日《Planning for AGI and beyond》
在谷歌收购DeepMind后,为避免谷歌在AI领域形成垄断,埃隆·马斯克和其他科技行业人物于2015年决定创建OpenAI。它作为一个有声望的非营利组织,致力于开发能够推动社会进步的AI技术。不同于DeepMind像一个精于解决棋盘上复杂战术的大师,专注于解决那些有明确规则和目标的难题,OpenAI更像是一个擅长语言艺术的诗人,致力于让机器理解和生成自然的人类语言。
从坚持初期被外界难以理解的GPT路线信仰,直到拥有1750亿参数的GPT-3问世,OpenAI展示了其在生成式模型上无与伦比的能力,引领了另一个AI时代。类比Deepmind和谷歌的关联,OpenAI与科技巨头微软牵手,展开了深度的战略合作,进一步推进AI技术的发展。

Figure 2. Deepmind和OpenAI核心产品发展时间线(原创)
NO.3 OpenAI在Scaling Laws研究中的主要成就:GPT系列模型
2020年,来自OpenAI的Kaplan等人的团队,在Scaling Laws for Neural Language Models论文中首次提出模拟神经语言模型的模型性能(Loss)与模型大小 、数据集大小和训练计算量的关系。该团队发现三者中任何一个因素受限时,Loss与其之间存在幂律关系。
注:幂律指的是两个变量中的一个变量与另一个变量的某个幂次成正比。如果体现在图表中,当两个轴都是对数时,图像呈现为直线)

Figure 3. Loss随着模型大小、数据集大小和用于训练的计算量的增加而平稳下降
该团队的研究结论总结如下:
影响模型性能的三个要素之间,每个参数会受到另外两个参数的影响。当没有其他两个瓶颈时,性能会急剧上升,影响程度为计算量 > 参数 > 数据集大小。
在固定算力预算下进行训练时,最佳性能可以通过训练参数量非常大的模型,并在远离收敛前停止(Early Stopping)来实现。
更大的模型在样本效率方面表现更好,能以更少的优化步骤和使用更少的数据量达到相同的性能水平。在实际应用中,应该优先考虑训练较大的模型。

Figure 4. 参数量为10^3到10^9不等的几个模型,训练运行中的Loss随训练token和计算量的变化曲线
OpenAI的观点可以翻译为:
如果大语言模型的训练过程是一位厨师在制作一道复杂菜肴,那么语言模型的性能就是这道菜的最终口味。
模型大小是厨师水平。更有经验的厨师(更大的模型)通常能做出更美味的菜肴。随着厨师技能的提升,菜肴的味道(模型性能)也会随之提升。
数据集大小是厨师可以使用的食材种类和数量。更多的食材选择(更大的数据集)意味着厨师有更多的组合方式来创造美味(更好的模型性能)。
训练的计算量是准备和烹饪食物的时间及所用的厨具。更多的准备和烹饪时间,以及更好的厨具(更多的计算资源),通常能使菜肴更加精致。
OpenAI的研究,就像在不断调整这三个方面(厨师的技能、食材的多样性和烹饪的资源),最终制作出一道口味卓越的菜肴。并从其中得到的经验:影响制作出一道美味的菜肴(高性能的语言模型)的因素,烹饪的资源(训练的计算量)> 厨师的技能(模型大小)> 食材的多样性的影响(训练的计算量)。
因此,为了资源更好的利用,应该优先选择更大的模型。也正是因为这项研究,OpenAI有了在数据和参数规模上Scaling-up的信心。在同一年,火爆全球的GPT-3问世。
NO.4 DeepMind在Scaling Laws研究中的主要成就:Chinchilla
2022年,来自Deepmind的Hoffmann等人的团队,在Training Compute-Optimal Large Language Models提出了与OpenAI截然不同的观点。
OpenAI建议在计算预算增加了10倍的情况下,如果想保持效果,模型的大小应增加5.5倍,而训练token的数量仅需增加1.8倍。
Deepmind这支团队则认为模型大小和训练token的数量都应该按相等的比例进行扩展,即都扩大3倍左右。该团队还暗示许多像GPT-3这样的千亿参数大语言模型实际上都过度参数化,也就是说它们的参数量超过了实现良好的语言理解所需,并训练不足。
该团队的研究结论如下:

Figure 5. 给定不同的FLOP预算(不同颜色),训练损失和模型参数量的关系
1. 对于给定的FLOP预算,损失函数有明显的谷底值(Figure3):模型太小时,在较少数据上训练较大模型将是一种改进;模型太大时,在更多数据上训练的较小模型将是一种改进。也就是说,在给定的计算量下,数据量和模型参数量之间的选择平衡存在一个最优解。
2. 在计算成本达到最优情况下,模型大小和训练数据(token)的数量应该等比例进行缩放,即:如果模型的大小加倍,那么训练数据的数量也应该加倍。对于给定参数量的模型,最佳的训练数据集大小约为模型中参数量的20倍。比如,对于一个7B的模型,理想的训练数据集大小应该约为140B tokens。
3. 大模型训练需要更加关注数据集的扩展,但是只有数据是高质量的时候,更大数据集的益处才能体现出来。
回到刚才做菜的比喻,Deepmind的观点是认为当烹饪资源(计算量)一定时,厨师的水平(模型规模)和食材多样性(数据大小)同等重要。而一个厨师,拥有自己水平20倍丰富度的食材,做出的菜才是最佳效果。
基于这种模型规模和数据量的重新评估,他们训练了Chinchilla模型,一个基于1.4T tokens训练的70B模型,并发现Chinchilla的表现在大范围的下游任务评估中一致且显著地优于Gopher(280B)、GPT-3(175B)、Jurassic-1(178B)和Megatron-Turing NLG(530B)。
这个现象,某种程度上代表了大语言模型发展的一个新方向:从一味追求模型规模的增加,变成了优化模型规模和数据量的比例。
国内有什么观点?
目前国内关于讨论Scaling Laws的论文还不是很多。根据目前搜集到的部分公开资料,可以看到百川智能的Baichuan2和北京理工大学的明德大模型(MindLLM)的论文中,讲述了各自对Scaling Laws的尝试。
两者在真正着手训练数十亿或者百亿参数的大语言模型之前,训练多个小型模型为训练更大的模型拟合拓展规律。具体做法是在同一套(足够大)的训练集上,采用一致的超参数设置,独立训练每个模型,收集训练的计算量和最终损失。而后以OpenAI论文中结论的幂律关系拟合,预测出期望参数量模型的训练损失。
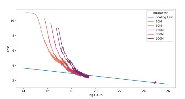
百川的做法是在开始训练7B和13B参数量模型前,设计大小从1000万到30亿不等的7个模型,采用一致的超参数,在高达1Ttoken的数据集上进行训练。基于不同模型的损失,拟合出了训练浮点运算次数(FLOPs)到训练损失的映射,并基于此预测了最终大参数模型的训练损失。(Figure 5)

Figure 6. Baichuan2的缩放定律:使用1万亿个token训练了从1000万到30亿参数不等的7个模型,对给定训练浮点运算次数(FLOPs)时的训练损失进行幂律拟合(蓝线),从而预测了在2.6万亿token上训练Baichuan2-7B和Baichaun2-13B的损失。拟合过程精确预测了最终模型的损失(两颗星标记)
明德大模型团队的关注点与百川相似,在训练3B模型前,在10b Tokens上训练了参数量从1000万到5亿的5个模型,通过分析各个模型的最终损失,同样基于幂律公式,建立从训练浮点运算次数(FLOPs)到目标损失的映射,以此预测最终大参数模型的训练损失。(Figure 6)

Figure 7. MindLLM的缩放定律: 在100亿token的数据集上训练参数从1000万到5亿参数的5个模型。通过对训练浮点运算次数(FLOPs)和损失幂律拟合,预测使用5000亿token的数据集训练MindLLM-3B的最终训练损失。该拟合过程准确预测了模型的最终损失,用星星标记。
此外,李开复零一万物团队的黄文灏,在知乎上关于Yi大模型的回答也较有代表性:
“Scaling Laws is all you need:很多人都认为Scaling Laws就是用来算最优的数据和参数量的一个公式,但其实Scaling Laws能做的事情远不止如此。为了真正理解Scaling Laws,要做的第一件事就是忘记Chinchilla Scaling Laws,然后打开OpenAI Scaling Laws的paper,再把paper中OpenAI引用自己的更早的paper都详细地读几十遍。”
其中Chinchilla Scaling Laws指的是DeepMind的思想。黄文灏认为大模型需要的是系统性的研究,把基础研究做好,才能更好的支持scale up。
OpenAI和DeepMind哪个会更早到达AGI?
Deepmind在Levels of AGI: Operationalizing Progress on the Path to AGI中提出了一个直观的分类方法,可以帮助更清楚地理解AGI的各个发展阶段。如下图所示,这个分类体系基于两个关键维度:性能(深度)和泛化性(广度)。
其中,性能(深度)分为了 Level 0-5,代表无AI-涌现-胜任-专家-大师-超人类六个能力层次;泛化性(广度)分为了专用(Narrow)和通用(General)两个维度。专用指类似于专精于特定领域或任务的专家。而通用更像是多才多艺的全能型人才,能够处理广泛的非物理任务,包括学习新技能等元认知能力。
这个系统就将AGI 分成了12个有独特特征的层级,就像我们职场中的不同职级一样,每个等级都代表了不同的能力和责任。(Figure 7)

Figure 8. 根据能力的深度(性能)和广度(通用性)对走向AGI(人工通用智能)的系统进行分类
在DeepMind发布的标准中,OpenAI的ChatGPT在通用能力上还处于Level 1的阶段,能力等同或略强于没有经过训练的人类。而DeepMind的AlphaFold在专业能力上,已经处于Level 5阶段,在特定领域上的表现将100%强于人类。
不难看出,DeepMind的AI系统更关注具体任务上,比如深蓝和AlphaGo属于人类大师水准,而AlphaFold和AlphaZero表示已经超越了人类。Google的语言模型过去也更看重下游任务的表现。相比之下,OpenAI的ChatGPT,一直保持着追求新兴的高泛化AI特性的理念,倒是DALL·E在这个标准中属于专家水平。
随着Google高调发布Gemini,我们看到搜索霸主与屠龙少年,现在都迈入了同一条波涛汹涌的河流。此前,Google CEO Pichai被问到:“没抢在ChatGPT前发布Bard,你错过了什么?”Pichai回答:“谷歌不是第一个做出搜索引擎,也不是第一个做出浏览器。有时候成为第一很重要,但有时候无关紧要。”
我们很难判断未来到底谁是最终赢家,谁将会第一个到达AGI或是以什么方式到达,但是我们相信,你追我赶才是技术研发创新和市场充满活力的良好状态。
结语
竞争有时候不仅是技术的较量,也是对未来愿景的探求。中国在大模型基础研究的起步时间虽然稍晚,但目前国内市场也体现出了较高的参与热情。
这场关于大模型竞争的深远影响或许会远超过单纯的技术突破。它引发了全球对人工智能的深思和投资,激发了一个更广阔的讨论:在构建智能的未来时,我们的目标和道路应该是什么。可能最后,通过全球范围内的合作与知识共享,会共同铺就了人工智能发展的多元化道路。在这个过程中,我们将不仅见证技术的飞跃,也会参与对人类与机器共存的未来的塑造。
参考资料和插图:
Scaling Laws for Neural Language Models
Training Compute-Optimal Large Language Models
Baichuan 2: Open Large-scale Language Models
MindLLM: Pre-training Lightweight Large Language Model from Scratch, Evaluations and Domain Applications
Levels of AGI: Operationalizing Progress on the Path to AGI
本文来自微信公众号:神州问学(ID:gh_20b0d0649537),作者:Zhongmei
相关推荐
OpenAI与DeepMind的Scaling Laws之争
GPT-4背后的算法,对齐了,又没完全对齐?
OpenAI CEO:套壳ChatGPT者死,我行不代表你行
DeepMind、OpenAI、FAIR,谁是全球最顶级AI实验室?
谷歌正式合并DeepMind,停止内斗能否打过OpenAI?
Google DeepMind成立,OpenAI怕了没?
做出ChatGPT的,为什么不是DeepMind?
谁是全球最顶级AI实验室?DeepMind、OpenAI和FAIR霸榜前三
OpenAI内斗的本质是「左右之争」
美国2023:OpenAI“旋转门”暗藏新科技路线之争
网址: OpenAI与DeepMind的Scaling Laws之争 http://www.xishuta.cn/newsview110762.html
推荐科技快讯
- 1问界商标转让释放信号:赛力斯 95792
- 2报告:抖音海外版下载量突破1 25736
- 3人类唯一的出路:变成人工智能 25175
- 4人类唯一的出路: 变成人工智 24611
- 5移动办公如何高效?谷歌研究了 24309
- 6华为 nova14深度评测: 13155
- 7滴滴出行被投诉价格操纵,网约 11888
- 82023年起,银行存取款迎来 10774
- 9五一来了,大数据杀熟又想来, 9794
- 10手机中存在一个监听开关,你关 9519
