诺贝尔奖金为什么119年也花不完?
编者按:本文来自微信公众号“硬核看板”(ID:yinghekb),作者:看板娘,36氪经授权发布。
随着十一小长假结束,2020年诺贝尔奖获得主名单已公布了一半。相比高大上的科学贡献,诺贝尔奖的巨额奖金更令人心生羡慕。
今年每项诺贝尔奖奖金高达1000万瑞典克朗,总额为6000万瑞典克朗,约合4544万人民币,比去年增加了将近454万人民币。

2020年诺贝尔奖物理学奖得主Roger Penrose、Reinhard Genzel、Andrea Ghez
截止到2019年,诺贝尔奖已经被授予950人和组织597次[1]。可整整119年,诺贝尔的遗产不仅没花光,还越花钱还越多。
一千多人都没能分光诺贝尔的遗产,诺贝尔当初到底留了多少钱?这么多年过去,诺贝尔奖的奖金为什么还发不完?还要等多久,才能彻底花完这笔遗产?
01 诺贝尔的遗产到底有多少?
1866年,硝酸甘油炸药问世,他的发明者——瑞典的发明家、化学家阿尔弗雷德·伯恩哈德·诺贝尔,从此名留青史。
诺贝尔去世后,总共留下约3323万瑞典克朗。1900年,诺贝尔基金会成立,它将诺贝尔的大部分遗产——3100万瑞典克朗用来创办诺贝尔奖。
起初,诺贝尔奖只设立了物理、化学、文学、生物或医学、和平五个奖项。1968年,又增设了诺贝尔经济学奖。
对于单项奖而言,如果是一个人获奖,那么他就独自拥有全部奖金。
比如2012年诺贝尔文学奖获得者莫言,就独享了800万瑞典克朗的奖金,约合750万人民币[2],当时能在北京三里屯买一套200㎡的房子[3]。

莫言获2012年诺贝尔文学奖
如果是两人共享某一个奖项,则获奖者平分全部奖金。如果为三人得奖,奖金可以2:1:1的比例分配。
比如2015年诺贝尔生理学或医学奖奖金为800万瑞典克朗,中国的屠呦呦获得了400万瑞典克朗,另外两位科学家平分剩下的400万。

屠呦呦获2015年诺贝尔生理学或医学奖
如今119年过去,诺贝尔奖发出去的奖金早已过亿,可诺贝尔的遗产为什么还没发完?
02 诺奖奖金为什么花不完?
严格来说,每年分发的奖金并不是诺贝尔最早留下的那笔钱。
1896年诺贝尔去世,在他的遗嘱里有这么一句:
“请将我的财产变做基金,每年用这个基金的利息作为奖金,奖励那些在前一年度为人类做出卓越贡献的人。”

阿尔弗雷德·诺贝尔
所以诺贝尔留下的3100万瑞典克朗,并不是拿着纸箱子包好一直放着不动,每年等着获奖者来取走一部分。
在诺贝尔基金会手里,3100万瑞典克朗是本金,本金产生的利息和投资获得的收益,才是诺贝尔奖金的来源。
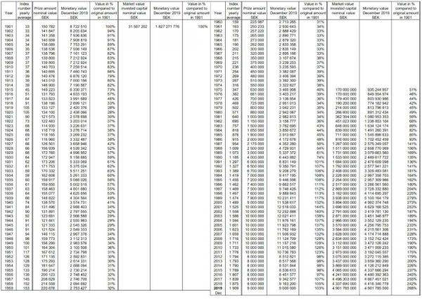
一开始,诺贝尔奖的利息不高,奖金也不丰厚。1901年第一次颁奖时,单项奖金只有15万瑞典克朗,第二届缩水到了14万瑞典克朗,之后更是一届比一届少,在1923年时只有11.5万瑞典克朗,降到历史最低点。

诺贝尔奖1901-2019年奖金数额(点击查看大图)
粗略估计一下,诺贝尔奖最初20年的单项奖金,平均为13万瑞典克朗,相当于每年要支出为65万瑞典克朗。
如果不投基金,不到48年,诺贝尔留下的遗产就一滴也没有了。
同时代出生的法国龚古尔奖在1903年成立,奖金最初是5000法郎,但由于没做投资,本金早已消耗完毕。
现在每年只是象征性地发10欧元,差不多80块钱,只够撸一顿串。
虽然早几年诺贝尔奖金不多,但由于基金会把钱妥善用于投资,诺贝尔奖金额在1923年后开始增加,每年奖金的数额,也因投资收益的波动而变化:
1980年,诺贝尔奖单项奖金达到100万瑞典克朗,1991年为600万瑞典克朗,2000年时已经是900万瑞典克朗。
到2019年底,诺贝尔奖的资产规模已经达到49亿瑞典克朗,大约为36亿人民币。
一百多年来,诺贝尔奖奖金曾有过大幅增长,也有过连年缩水,甚至还面临过本金都用完的危机。
从亏得快要倾家荡产,到后来赚得盆满钵满,“百年老店”诺贝尔基金会到底怎么做的投资?
03 诺奖如何赚得盆满钵满?
阶段一:诺贝尔奖成立的前50年
在诺贝尔奖成立的最初50年间,诺贝尔基金会按照诺贝尔的遗嘱,将全部的基金用于银行存款或债券等投资[4]。
债券,是一种投资产品,相当于生活中常见的借条,政府的借条,就是国债。如果国家找老百姓借钱,基本上是非常安全的,不用担心国家会不还钱。
但不管是银行存款还是债券,投资收益普遍不是很高,一般只有2%-3%。
所以,诺贝尔基金会在运作初期,收益虽然稳定但特别低。
每年能获得的收益,约为60万到90万瑞典克朗,再扣除一些基金会的日常开销,每次用来颁奖的钱也就50万到80万左右。
不过,生活的毒打总是不期而至。1915年,瑞典政府开始在全国征收“临时国防税”,诺贝尔基金要拿出大笔钱上交给国家。而攥在手里的小金库,因为通货膨胀导致货币贬值,基金会明明什么都没做,钱就是慢慢没了。
到了1953年,诺贝尔基金会的资产已经流失了三分之二,这让基金会在破产的边缘疯狂试探。
阶段二:1953年后的五十年
由于诺贝尔奖收益不佳,瑞典政府决定施以援手,支持基金会投资收益更高的产品。
有了政府做靠山,诺贝尔基金会不仅在瑞典,还在许多欧美国家,开始了买买买的“剁手”投资。
比如,基金会投资股市,1980年美股开启一轮长期的牛市,诺贝尔基金会的收益也实现大幅上涨。1987年末,诺贝尔基金会投入美股的资产总市值高达12.87亿瑞典克朗,远远超过当初3100万瑞典克朗的原始价值。
股市收益的节节攀升和房地产等其他投资的收益,使得诺贝尔基金会的资产水涨船高。
到1999年末,诺贝尔基金会的资产总市值达到39.38亿瑞典克朗。
阶段三:从2001年到今天
2001年的互联网泡沫和2008年的全球金融危机,让诺贝尔基金会也受到波及,损失了将近五分之一的投资额。
为了减低市场风险,基金会开始加大对冲基金的投资。
什么是对冲?举个例子,一个人开了一家洗衣店,赶上下雨天没法晒衣服,生意就不好;不过要是你再同时开一家卖伞的店,这样不管晴天还是雨天,能保证有收入。
这个故事中,下雨时雨伞店的收入可以抵消部分洗衣店的损失。这种抵消作用,就是对冲。所以投资对冲基金,一定程度上能抵消股票等投资的损失风险。
2019年,诺贝尔基金会的资产投资比例为股票类47%,房地产基金投资9%,固定收益类产品13%和对冲基金33%。

2015-2019年诺贝尔基金会的资产投资比例
这就相当于一个人,有黄金地段升值的房子(房地产基金),有稳定的铁饭碗工作(固定收益投资),还有在外面兼职的副业(股票),下班之后,还能在家做主播(对冲基金)。
基金会正是如此,让财富雪球逐渐滚起来。
04 诺奖的另一面
诺贝尔奖的出现,在人类科学探索的进程中起到促进的作用,但同时,我们也不能忽略这些奖项的另一面,那就是和个人利益的捆绑。
由于很多消费者对诺贝尔奖都是盲目崇拜,一些商家便努力让自己的产品傍上诺贝尔奖的大腿,还生造出“诺贝尔化妆学奖”。

而很多不法商家还会花重金邀请诺贝尔奖获得者为其站台,甚至代言一些三无产品。
比如兰迪·谢克曼,他在2013年获得了诺贝尔生理或医学奖。有人统计,2019年前10个月,谢克曼教授就曾在中国参与了16次活动,包括为企业站台、代言等。
如果诺贝尔得主们是在专业领域做分享交流,学者们当然愿意捧场学习;但如果只是为了一己私利,象征性地露个脸、签个字,那么这就成了纯粹的利益互换。
诺奖不该成为微商、三无品牌镀金的工具,千万不要因为对“洋大师”的盲目崇拜影响了判断,交了智商税。
参考资料
[1]诺贝尔奖官网
[2]英为财经 汇率
[3]安居客 房价查询
[4]《诺贝尔遗嘱全文》
相关推荐
诺贝尔奖金为什么119年也花不完?
“相信我票绝对是真的” 数字时代黄牛为什么打不完
俄罗斯经济这么差,也不完全是普京的锅
罗永浩直播卖烂花,为什么他不用负法律责任?
对话孙枢:滴滴为什么要做花小猪?
119年,每年几千万,诺贝尔的遗产为什么还没花完?
中国手机印度二十年:掘不尽的市场,打不完的对手
为什么我从来不教人赚钱
为什么这家 90 后创办的公司值得阿里花 1 亿美元收购?
牛奶卖不完浪费?快时尚不够环保?「Mi Terro」想到用废弃牛奶做T恤
网址: 诺贝尔奖金为什么119年也花不完? http://www.xishuta.cn/zhidaoview13849.html
推荐专业知识
- 136氪首发 | 瞄准企业“流 3930
- 2失联37天的私募大佬现身,但 3220
- 3是时候看到全球新商业版图了! 2809
- 436氪首发 | 「微脉」获1 2759
- 5流浪地球是大刘在电力系统上班 2708
- 6招商知识:商业市场前期调研及 2698
- 7Grab真开始做财富管理了 2610
- 8中国离硬科幻电影时代还有多远 2328
- 9创投周报 Vol.24 | 2186
- 10微医集团近日完成新一轮股权质 2181
