一家公司是否可以永远存在?
题图来自视觉中国
哺乳动物、公司乃至城市作为一个生命体是否都存在相通的生长逻辑?
一个城市需要要设立多少加油站才是最经济的选择?
一家公司是否能够永远存在?如果公司不能,一个城市是否可以?
以上这些问题,《规模》一书都给出了答案,这本书的作者杰弗里•韦斯特是物理学家,他通过科学研究将其理论应用在公司发展、城市治理上,堪称全才,被奉为“跨学科诺贝奖”的不二人选。杰弗里•韦斯特通过多年研究发现,生命体、公司、城市的生长与衰败都离不开其自身规模的制约,并与其规模呈一定比例关系,遵守统一的公式,作者将此称为规模法则。

可以说掌握了规模法则,就一定程度上了解了世间运行大法。什么是规模法则?首先从动物的生长规律来看。
规模法则
动物体重越大,能量消耗越节省
假如一只动物的体形是另一只动物的两倍,那么它便拥有两倍的细胞,一般人会得出的结论可能是:前者每天所需的食物和能量是后者的2倍,但杰弗里•韦斯特经过研究发现实际情况是前者每天所需的食物和能量只比后者多75%,也就是说前者相对后者节省了25%的食物和能量。
这一法则所带来的一个深远影响是,以每克为单位,体形更大的动物事实上比体形更小的动物更加高效,因为她的每一克组织需要的能量支持更少,少了大约25%。下图是自然界动物从小到大的代谢率与体重之间的关系,分布线的斜率为0.75,这一规律遵循精确的数学公式,代谢率随体重的3/4次幂发生变化。

(动物代谢率与体重的关系)
这一规模扩大带来的系统性节约就是规模法则。简单地说,就是你的体形越大,保持存活的人均所需便越少。那么这个规模法则能否扩展到人类社会呢?接着往下看。
人口和城市的规模法则
城市人口越多,收入越高,所需基础设施越少
杰弗里•韦斯特研究了城市的规律,发现无论在美国、中国、日本、欧洲还是拉丁美洲,城市的基础设施(如道路、电线、水管的长度及加油站的数量)都以相同的方式按比例缩放。但其指数与动物不同,大约是0.85,就是说城市每增加100万人,城市的基础设施(比如道路、电线)能够节约15%。这种随着体量增大而节约能量的规模法则也叫亚线性规模缩放。
与此相比,城市越大,社会经济指数,如工资、财富、专利数量、艾滋病病例、犯罪率、教育机构数量等,也随着人口规模的变化而按比例缩放,但以近似1.15的超线性指数变化,也就是说城市每增加100万人,城市人的工资、财富、专利数量等会增加115%。这种随着体量增大而效率提升的规模法则也叫超线性规模缩放。
综合来讲,规模法则意味着,如果一座城市的人口规模是本国另一座城市的两倍,它的工资、财富、专利数量、艾滋病病例、犯罪率及教育机构数量都会以近似相同的比例增长(大约是1.15倍),而它的基础设施也会出现相似的节余(大约是15%)。
举例:一个城市到底需要多少座加油站?
我们以书中的例子加油站来看规模法则的应用。
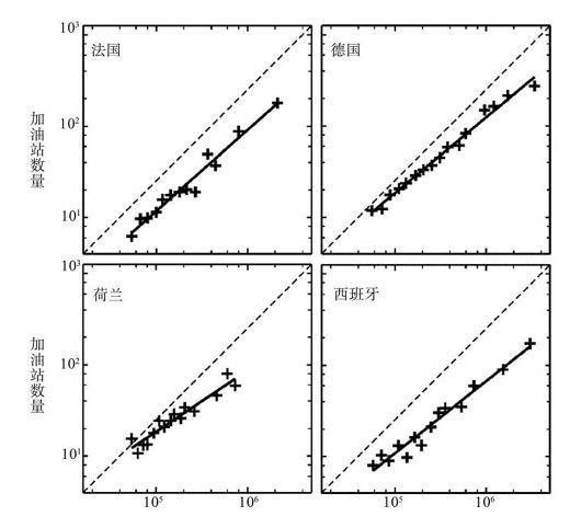
下图是法、德、荷兰、西班牙四国的加油站数量(纵轴)与城市规模(横轴)的关系图,可以看出,数量并非随机变化,而是有规律的。结论是:随着人口规模的变化,加油站数量的增长遵守规模法则。 此图直线的斜率,大约为0.85,比生物体代谢率中的0.75略高。

(加油站数量与城市规模之间的关系)
这意味着在规模更大的城市,平均每座加油站服务的人数会更多,每月卖出的汽油数量也比小城市更多。换句话说,人口规模每增加一倍,城市只需要增加85%的加油站。对于超大城市,这个效应将带来巨大数量的节约。对比5万人的小城市与500万人的大都市,为了服务100倍于原来的人口规模,只需50倍于原来的加油站数量。
当然,其他的城市基础设施遵循同样的规模法则,如电线、道路、水管和燃气管道的总长度等。
案例扩展:一个城市开多少家星巴克是合适的?
星巴克作为一个企业,如果扩张在一个城市的门店数量,是凭感觉还是遵循一定的规律?如果将星巴克作为一座城市的基础设施,我们就可以应用规模法则。
根据大众点评数据,上海目前有738家星巴克,2018年末,上海人口是2400多万人。当然目前上海星巴克还没有饱和,假设1000家门店为饱和数字,即每年销售额基本稳定,不再增长。那么你可以依据规模法则,科学地设定其他城市的星巴克门店数量,比如假如中国一座城市为4800万人,那么这个城市的星巴克门店可以节省15%,就是1000*2*0.85=1700家,如果一座城市为1200万人,那么这个城市应该有588家(1000/0.85*2)门店。
商业案例与基础设施可能有所差别,但规律是类似的,有了规模法则作参考,你就不会盲目规划一座城市的扩张量了。
公司的规模法则
一家公司的总收入(或销售额)可以被想象为它的新陈代谢,而支出则可以想象为“维护”成本。
通过研究和统计发现,公司收入和支出的比例变化一开始符合规模法则,即收入每增长一倍,支出比例节省10%(这个与城市版的15%有一定差距),利润不断上升,公司快速增长。但随着公司规模的扩大,规模法则失效,收入增长的同时,支出比例不再节省,最终投入与收入之间的差额即利润只能保持线性比例变化,比如2%,直至由于内外环境外边导致衰退。
这也是很多公司发现公司收入并未随着员工增加而达到预期的原因。模式大概这样:一开始随着人数的增加,业务收入大幅上涨,而随着人数不断增加,效率降低,其他支出扩大,导致业务收入没有实现相应的上涨。杰弗里•韦斯特通过分析标准普尔公司会计数据库的数据集发现,随着公司规模的增长,对于创新的支持跟不上官僚和管理开支的增长。
下图可以看出,统计美国8家大公司的营业额,发现这些公司营业额对数值一开始增长较快,但一旦达到一定数额,则增长处于相对稳定期,比如每年增长2%。

每年固定增长比例比如2%,带来的问题是它是指数级增长,尽管2%起点比较少,但是大家都知道棋盘上放米的故事,将时间拉长,2%带来的增长将会无限大,这对于企业来说未来无限的指数级增长是不可能的。如何解决这个问题,作者给出的解决方案依然是创新。
作者认为,预先阻止潜在灾难的一个明确策略是,在达到奇点(无限增长)之前便进行干预,重新设定参数,并进行创新。一个重大的创新会有效地重设参考点,改变系统运行和增长出现的条件。
如下图所示,公司和社会本来的增长是虚线部分,当它达到某一个点时将到达不可能的无限,利用创新避开最初的范式,找到新的范式,等于重新开辟了一条增长轨迹,只有这样,企业和社会才能实现永续经营。这里举个例子,如果腾讯QQ遵循虚线轨迹的增长范式,它是不可能一直持续下去的,因为中国所有人几乎都成了QQ的用户,但是微信的出现创造了新的增长范式,即实线增长轨迹,于是它又开始重新增长,微信相较QQ就是创新。

讲到这里,文章开头的几个问题,你便有了答案。
哺乳动物、公司乃至城市作为一个生命体的确存在相通的生长逻辑,那就是规模法则,即体量每倍增一倍,其消耗节省一定比例。
一个城市需要的加油站数量呈现这样的规律,城市人口每倍增一倍,加油站数量需求节省15%。
一家公司是否能够永远存在?答案是不能,因为公司越大,消耗(支出)并没有节省,线性增长趋势最终只能走到尽头。
作者:寻空的营销启示录(公众号ID:xunkong2005)

相关推荐
一家公司是否可以永远存在?
一家只存在15天的“酷公司”
如何定义一家科技公司?
企业创新是否可以流程化?
Twitter CEO多西:永远不会加入Facebook天秤币计划
专访信天创投蒋宇捷:一家企服公司是否值得投资,就看这四点
被特斯拉告上法庭的做空者:要永远与马斯克对赌
如何在一家内容公司,从零搭建起一支技术团队
AI时代,创业公司是否还有机会?| 投资者说
永远不要相信扎克伯格
网址: 一家公司是否可以永远存在? http://www.xishuta.cn/zhidaoview1130.html
推荐专业知识
- 136氪首发 | 瞄准企业“流 3930
- 2失联37天的私募大佬现身,但 3220
- 3是时候看到全球新商业版图了! 2809
- 436氪首发 | 「微脉」获1 2759
- 5流浪地球是大刘在电力系统上班 2708
- 6招商知识:商业市场前期调研及 2698
- 7Grab真开始做财富管理了 2610
- 8中国离硬科幻电影时代还有多远 2328
- 9创投周报 Vol.24 | 2186
- 10微医集团近日完成新一轮股权质 2181
