一个著名数学问题的新进展
上世纪20年代,数学家弗兰克·拉姆齐(Frank Ramsey)提出拉姆齐数的概念,这个看似简单的概念,所涉及的却是组合学中异常困难的问题。
拉姆齐数催生了一个被称为拉姆齐理论的领域,这个领域关注于探讨诸如“某个集合需要多大,才能保证出现某个结构”的问题。自20世纪30年代以来,数学家在探索拉姆齐问题方面,几乎没有取得任何可观的进展。
现在,数学家Jacques Verstraete和Sam matthews向预印网站arXiv上提交了一篇新的论文,表示他们找到了一个困扰了数学界90多年的拉姆齐问题——r(4, t)的近似答案。
拉姆齐数与拉姆齐问题
什么是r(4, t)问题?或许我们要先从拉姆齐数说起。
拉姆齐数与单色团概念有关,我们可以通过一个实例来直观地理解拉姆齐数和单色团:将一个有着5个顶点的图的每个点都用线段两两相连,那么我们会发现,用10条线段就可以完成这一步,得到一个5个顶点的完全图(所有顶点都两两相连的图)。接着,将每条边涂成绿色或橙色两种不同的颜色。

用两种不同颜色为由5个顶点连接而成的完全图的边着色,是有可能避免出现3个顶点由相同颜色的边连接而成的情况的。(图/原理)
现在,问题来了,我们是否可以避免出现3个顶点是用相同颜色的边连接而成的?对于有着5个顶点的完全图来说,问题的答案是肯定的。
接着,让我们将点数从5增加到6。同样,形成一个6个顶点的完全图需要15条边将这些点两两相连,并同样也给这15条边分别涂上绿色或橙色。这时,当我们再去探讨相同的问题时,会发现无论采用什么方法,都不可避免地会得到3个由相同颜色的边相互连接的点。

6个顶点的完全图,如果用两种不同颜色为其边着色,必然会出现3个顶点由相同颜色的边连接而成的情况。(图/原理)
这些被相同颜色相连的点,就是单色团。它表示,对于颜色数量为2、大小为3的单色团来说,拉姆齐数为6。它意味着你需要一个至少包含6个顶点的完全图,才能保证这样一个单色团存在。
其实,这个问题还有一个更简单易懂的表达方式,那就是所谓的r(3, 3)派对问题:在一个r人参加的派对中,如果至少要有3个人彼此认识,或者3个人彼此都不认识,那么满足该条件的最小r(3, 3)是多少?从上面的图中,我们知道,r(3, 3)的答案是6。
在数学家知晓了r(3, 3) = 6之后,他们试图求解r(4, 4)、r(5, 5)……等于多少。r(4, 4)的解是18,它是用Paul Erdös和George Szekeres在20世纪30年代创造的一个定理证明的;而r(5, 5)目前仍然未知。事实上,随着单色团的数字增大,拉姆齐数的计算变得越来越复杂。
上界和下界的估计值
为什么看似如此简单的问题这么难解决?
事实证明,它比看起来要复杂得多。比如,假设数学家知道r(5, 5)的解在40~50之间,如果从45开始,那么需要考虑的图就有超过10234种!这是个令人难以想象的数字,所以数学家很难找到精确的结果,只能进行估计,给出一个可能的取值范围,确保一个任意大小的团的拉姆齐数在某个上界和下界之间。
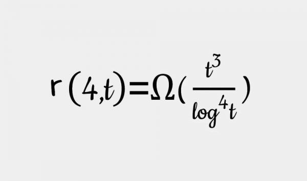
这也是Verstraete和matthews在新工作中所取得的进展。他们的工作与r(4, t)问题有关,其中t代表不相连的顶点的数量是变量。这个问题已经困扰数学家90多年。
大约四年前,Verstraete与数学家Dhruv Mubayi在研究另一个拉姆齐问题时,发现所谓的伪随机图可以推进对这些问题的现有认知。
1937年,Erdös发现使用随机图可以为拉姆齐问题提供很好的下界。Verstraete和Mubayi发现,频繁地从伪随机图中取样,通常能比随机图给出更好的拉姆齐数边界,可以进一步收紧他们的取值范围。
2019年,Verstraete和Mubayi使用伪随机图求解了r(3, t)。但是,Verstraete难以构建一个有助于求解r(4, t)的伪随机图。于是他开始涉足组合学之外的数学领域,比如有限几何、代数和概率论。最终,他遇到了有限几何领域的专家,Mattheus。
近似值:t的三次函数
他们发现,Verstraete所需要的伪随机图,可以在有限几何中找到。在得到了有助于求解r(4, t)的伪随机图后,仍存在一些其他的数学问题有待解决。最终,他们用了将近一年的时间来处理这些问题,得出了一个近似解:r(4, t)近似于一个t的三次函数。

用派对问题的语言可以被表述为,如果想要在一个聚会总是有4个人彼此都认识,或者t个人彼此完全不认识,那么大约需要t3人在场。需要特别强调的是,是“大约t3人”,这只是一个非常接近真实情况的估计值,而非一个确切的答案。
参考来源:
https://today.ucsd.edu/story/ramsey-problems
https://arxiv.org/pdf/2306.04007.pdf
https://www.quantamagazine.org/after-nearly-a-century-a-new-limit-for-patterns-in-graphs-20230502/
本文来自微信公众号:原理 (ID:principia1687),作者:佐佑
相关推荐
一个著名数学问题的新进展
一个简单易懂,却可能没有答案的数学问题
物理学的终极问题,正等待数学来回答
数学世界的“大卫王:普通娃如何成为数学翘楚
44年了, 这个数学问题终于迎来关键突破
面对数学史上最简单的未解之谜,陶哲轩给出了几十年来最重要的证明
深度学习光环背后,哪些机器学习的新进展被忽视?
数学世界的“大卫王”:创造性、影响力和正义感
36氪首发 | 「洋葱数学」完成3亿元人民币D轮融资,拓科K12英语+语文
“符号数学”终于向“神经网络”屈服:AI 学会数学证明了?
网址: 一个著名数学问题的新进展 http://www.xishuta.cn/newsview96419.html
推荐科技快讯
- 1问界商标转让释放信号:赛力斯 95792
- 2报告:抖音海外版下载量突破1 25736
- 3人类唯一的出路:变成人工智能 25175
- 4人类唯一的出路: 变成人工智 24611
- 5移动办公如何高效?谷歌研究了 24309
- 6华为 nova14深度评测: 13155
- 7滴滴出行被投诉价格操纵,网约 11888
- 82023年起,银行存取款迎来 10774
- 9五一来了,大数据杀熟又想来, 9794
- 10手机中存在一个监听开关,你关 9519
