室温超导又凉了吗?
韩国团队LK-99室温超导这个大瓜,开吃至今已经过去了大半个月。

在磁铁上呈半悬浮状态的LK-99样品 | Hyun-Tak Kim
这段时间以来,研究机构和网红博主齐上阵,有在实验室里加班加点烧炉子测数据发论文的,有自费买原材料在自家验证磁悬浮的,还有计算LK-99的晶体结构推测物理性质的……
总之,每天都有LK-99相关的新料(文章或者视频)被上传到arXiv、B站甚至抖音上。
那么——这次的室温超导,靠谱吗?
很遗憾,以目前各方的实验结果来看,LK-99是室温超导体的概率已经越来越小了。
太长不看版
目前为止,在可靠信源发布的LK-99相关复现实验中:
均无法证明LK-99样品具有完全抗磁性;
均未发现LK-99样品在室温下有零电阻现象。
有磁悬浮,但无法证明完全抗磁
先来看曾经在网络上火爆一时的LK-99磁悬浮现象。
继华中科技大学在B站上公开宣布成功复现LK-99在磁铁上悬浮后,多个研究机构和网络博主也相继发现,个别样品同样出现了磁悬浮现象。

样品在磁场中出现自发抬升现象 | B站up主“关山口男子技师”视频截图
由于视觉效果非常直观,相关实验结果在社交媒体上快速传播,掀起了一阵复现磁悬浮的热潮。
然而,磁悬浮并不能证明LK-99具有超导体所特有的完全抗磁性。目前成功复现磁悬浮的LK-99样品几乎全部是半悬浮(一端紧贴底面,另一端抬起),这和超导体完全悬浮的现象并不相同。

韩国团队论文作者放出的LK-99磁悬浮新视频 | Hyun-Tak Kim
关于半悬浮的原因,目前众说纷纭。比如,北京大学等机构于8月8日在arXiv上公开的论文认为,LK-99样品中的软铁磁性成分足以解释半悬浮现象。

样品半悬浮的一种解释 | 参考资料[1]
虽然还缺少一个得到广泛认可的解释,但各方基本都否认了是由完全抗磁性引起的半悬浮。
您目前设备暂不支持播放真假存疑的样品完全悬浮视频 | 抖音用户“炼丹师阿翔”
抖音名为“炼丹师阿翔”的用户曾在8月5日上传了一段据称是LK-99样品在磁铁上方完全悬浮的视频,称“加入了一些其他化合物”实现了“完全抗磁性”。
然而该用户后续发布的视频既没有说明材料制备方法,也没有公开所在机构,因此视频的真实性还要被画上一个大大的问号。
退一步讲,即使视频为真,样品能够完全悬浮,也无法证明它就是超导体。
一些抗磁性很强的材料,比如热解石墨,也可以完全悬浮在磁铁上。甚至,在磁场足够强大的条件下,连青蛙都可以完全悬浮在磁场中。

完全悬浮的青蛙,显然并不能证明它是超导体 | AP Archive
真正超导体的磁悬浮还有一个重要特性,磁体和超导体在一定条件下会形成“锁定”——哪怕将磁铁翻转到竖直,甚至完全倒转过来,超导体仍然会保持与磁铁相对静止,完全悬浮在空中。

磁通钉扎的典型表现 | 参考资料[2]
这个现象叫作磁通钉扎(flux pinning),现有公开的实验结果均未出现磁通钉扎的确凿证据,从另一方面否定了LK-99具有完全抗磁性。
没有观察到室温下的零电阻现象
比磁悬浮更关键的是,是样品的电阻。
韩国团队在原始论文中宣称,LK-99样品在室温下存在电阻骤降到零的现象,并称这一现象只能用超导现象来解释。
然而,迄今为止,没有任何研究团队发现LK-99样品在室温下有电阻变为零的现象。
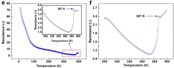
比如说,最早复现磁悬浮的华中科技大学团队在arXiv公布的论文结果表明,除了在387K(即114℃)有一个小的跳变外,样品的电阻基本随温度升高而逐渐降低,但并没有降低到零,整体呈现出半导体的特征。

华中科技大学论文中,电阻整体呈现出半导体的特征 参考资料[3]
北京大学、英国曼彻斯特大学等多个研究机构公布的数篇实验论文中,也没有发现样品表现出零电阻特征。
换句话说,在室温电阻为零这一点上,迄今没有任何研究团队能够复现。
至于LK-99的电阻突变问题,来自北京凝聚态物理国家研究中心和中国科学院物理研究所的团队在arXiv上公布的论文还提出了一个没有室温超导那么“夸张”的猜想。
物理所的研究人员分析了纯净的硫化亚铜的电阻随温度变化的情况,发现材料在385K(即112℃)附近表现出从绝缘体到导体的转变,电阻急剧下降,但是并没有完全降低到零。
而在韩国团队给出的LK-99电阻变化曲线中,电阻同样是在这个温度附近骤降。


电阻随温度的变化曲线,物理所的硫化亚铜(上)和韩国团队LK-99初始论文(下),在300多K的温度下有类似的跳变 | 参考资料[4][5]
在进一步对比和分析了两份掺有不同硫化亚铜含量的LK-99样品的电学特性后,他们提出猜测——韩国团队的原始论文中,LK-99的电阻突变可能来源于其中掺杂的硫化亚铜,而韩国团队误将这个跳变当作是转变为超导体的跳变。
回到吃瓜群众最关心的问题上来:这次的室温超导,靠谱吗?
不妨再来看看韩国团队提出的论据吧:
磁悬浮:有复现,但无需室温超导来解释;
电阻突变:同样无需室温超导来解释;
室温零电阻:迄今未能复现成功。
所以,你觉得,这靠谱吗?
参考文献
[1] https://arxiv.org/abs/2308.03110
[2] www.spacecraftresearch.comflux-pinning
[3] https://arxiv.org/abs/2308.05001
[4] https://arxiv.org/abs/2308.04353
[5] https://arxiv.org/abs/2307.12037
本文来自微信公众号:果壳 (ID:Guokr42),作者:中子星,编辑:Steed
相关推荐
室温超导又凉了吗?
美国超导单日大涨60%,探索几十年的室温超导材料真的要来了吗?
室温超导又来了,这次该怎么吃瓜?
「室温超导」,跨时代发现还是惊天诈骗?
室温超导新成果或已光速证伪
“室温常压超导”为何让全球振奋?
给室温超导狂欢泼点冷水
室温超导:一个反复上演 “狼来了” 的研究领域
室温超导希望再现,但疑虑犹存
室温超导爆火真相:复现、质疑和突破
网址: 室温超导又凉了吗? http://www.xishuta.cn/newsview86346.html
推荐科技快讯
- 1问界商标转让释放信号:赛力斯 95792
- 2报告:抖音海外版下载量突破1 25736
- 3人类唯一的出路:变成人工智能 25175
- 4人类唯一的出路: 变成人工智 24611
- 5移动办公如何高效?谷歌研究了 24309
- 6华为 nova14深度评测: 13155
- 7滴滴出行被投诉价格操纵,网约 11888
- 82023年起,银行存取款迎来 10774
- 9五一来了,大数据杀熟又想来, 9794
- 10手机中存在一个监听开关,你关 9519
