自拍眼睛就能测新冠,这项AI技术国内免费开放,3秒获诊断结果
用手机拍张眼部照片,就能秒知是否感染新冠。
这是复旦大学大数据学院人体感知实验室与国内外多家机构联合研发的COVID-19 EYE TEST新冠感染风险检测技术。
无需任何专业设备,借助一台能拍照的智能硬件拍摄一张眼部照片,测试者即可随时随地用该技术在3秒内判断是否有新冠感染的风险。
这样操作便捷、几乎没有成本、有助于降低居民出行风险且准确率高的创新研究,刚刚被2021国际展望大会(NEXT SUMMIT)生物医药与大健康论坛重要演讲收录。
值得一提的是,该技术已在中国永久免费开放。
COVID-19 EYE TEST技术是怎么做到的?通过眼部检测来诊断疾病的可靠性和临床科研难度分别有多高?它能完全代替去医院做新冠肺炎核酸检测吗?
近日,智东西与负责该项目的AIMOMICS首席科学家、复旦大学大数据学院青年研究员付彦伟博士,以及AIMOMICS首席数据工程师孙强博士进行深入交流,了解眼部检测技术在新冠筛查方面的应用优势、使用流程以及其未来可检测疾病的范畴。

▲付彦伟(图左)与孙强(图右)
01 看看眼睛就能诊断疾病,准确吗?
“观眼识病”在中西方医学中皆由来已久。
中医有目诊相关理论学说,西方有眼表微循环理论,基于眼表和眼底视网膜进行疾病诊断的AI医学影像技术也日益成熟。
其中,应用眼底相机检测技术,通常需专业眼底相机来拍摄、使用特定算法针对特定疾病识别,并经由大量人工标注修正,此类方法使用成本较高,临床技术相对成熟。
相比之下,眼表检测技术使用普通手机或相机即可拍摄,通过一种算法框架,能做到多种疾病一次性识别,采用专家启发标准、不依赖大量手工标注的弱监督自主学习进行标注。

▲眼表疾病诊断系统
受这些启发,AIMOMICS、复旦大数据学院、复旦大数据学院大数据感知实验室与多方国际团队合作,组建起包括机器学习、临床医学和商业领域专家的团队,开展“全球跨地区跨人种新冠眼部检测临床实验”。
该项目名为AIMOMICS EYE TEST PROGRAM,自2020年2月正式启动,团队基于COVID-19新冠疾病眼部便捷拍摄检测的远程风险筛查,在进行重点攻关研究与市场转化。
自2020年新冠爆发开始,不断有论文报告新冠疾病与眼部特征的关联,尤其在2020年9月之后,类似的论文数量迅速增加。
但没有经过系统训练的人类肉眼观察,难以从复杂细微的眼部特征中找出线性的逻辑关联,只有通过系统的眼部病理特征库启发和像素级别的机器视觉分析,才能实现真正意义上眼部特征识别和分析,并找出强关联的临床证据,EYE TEST项目采用的即是这一技术方向。
“我们团队应该是全球第一个发表相关论文,并实现跨地区跨人种优异检测结果的。”孙强博士说,他提到德国、中国、新加坡、美国、加拿大均开始有通过眼部特征检测疾病的相关技术报道,有些企业已经开始获取商业订单,但是还没有看到他们有任何学术论文的发表。

▲AIMOMICS EYE TEST PROGRAM应用场景(移动设备、APP软件、视频监控、实时机场安检、疾病防控医疗器械、家庭自测远程医疗保健)
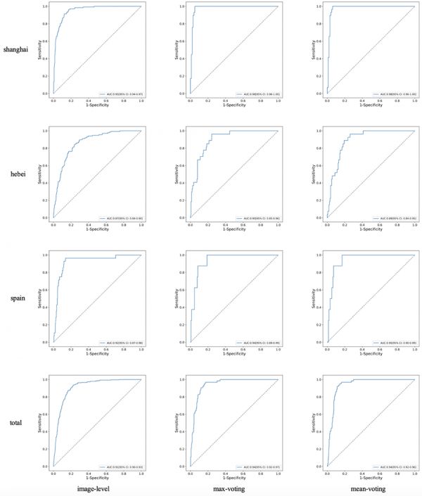
目前,COVID-19 EYE TEST项目在全球多个地区临床实验中的敏感性与特异性平均指标均达到了85%以上,其中东亚人的平均特异性和敏感性更是最高达97%。
“在日本,我们配合当地的核酸检测企业做风险辅助筛查,只要我们筛查出高风险的,几乎99%以上核酸检测阳性。”孙强博士解释道,这取决于一部分技术,或者成为特征启发主要源自对东方人的传统目诊医学,其他人种需经一定临床实验并不断调参才能达到与东亚人同样的准确程度。
同时,不同疾病的病理分型、病毒载量、并发症等等,都会对应不同的眼部病理特征,如果要实现检测模型跨区域跨人种的普适性,就会呈几何数量级别地增加实验难度,但一路走来,该项目团队最终还是克服了所有困难。
在大规模GPU高性能计算及机器视觉技术和深度学习工具的支持下,EYE TEST项目全球首次以跨地区跨人种临床实验方式提供了人体眼部病理特征与新冠疾病相关的检测证据和该检测模型对跨地区跨人种的普适性证据,并在ARXIV预印本期刊全球首发“跨地区跨人种新冠眼部检测临床实验”学术论文《Report on China-Spain Joint Clinical Testing for Rapid COVID-19 Risk Screening by Eye-region Manifestations》

▲上海、河北、西班牙和总测试数据集上的COVID-19与非COVID-19 ROC曲线对比
部分相关论文链接:
https://www.medrxiv.org/content/10.1101/2020.09.03.20184226v4
https://ephconference.eu/
https://www.medrxiv.org/content/10.1101/2021.06.23.21258626v1
https://arxiv.org/abs/2109.08807
02 助力国内疫情防控!向中国用户免费开放
目前,EYE TEST项目团队已经完成了眼部检测开发平台的搭建,为所有具有民用摄像头的智能硬件与配套软件企业,陆续提供各类型疾病检测的API或者SDK搭载服务。
其中新冠检测的免费demo和非商业目的免费API(需开发者审核)仅向中国境内(港澳台除外)永久免费开放,且测试过程严格遵守境内外数据合规及隐私安全。

用户操作方法非常简单,整个过程无需注册任何个人信息。进入新冠肺炎眼部检测风险筛查免费测试内测版链接,页面会出现“快速检测”和“高级检测”两个选项。

点击“快速检测”后,测试者可以通过在直接拍照或选择手机上的眼部照片,按照图例对齐,3秒内即可获取测试结果。

“高级检测”选项则要求测试者按照指示,以“前、左、右、上”的顺序依次拍摄或选择手机相册中这4个不同角度的眼部照片,按图例对齐后上传获取检测结果。
如果在“快速检测”中被诊断出“高风险”,建议增加检测次数、更换不同光照环境,选择“高级检测”再次进行眼部拍摄,如果多次检测结果仍为“高风险”,则建议及时咨询专业医疗机构。

内测链接:http://eyetest.aimomics.org/demo/#/index
要注意的是,拍摄应在光线充足的明亮环境下进行,避免红色背景前拍摄,且测试者的眼部不能化妆、不能佩戴隐形眼镜、不能被头发遮挡。
另外,相机分辨率应不低于300万像素,眼部图片分辨率高于1900x500,并且不要加任何滤镜。
拍摄后,页面会出现提示,指引测试者手动对眼部照片进行缩放移动和裁剪,裁剪后的眼部照片不能出现背景。
后续该项目团队还计划将检测方式升级为拍摄一段小视频,可以检测多种疾病,且准确率更高。
03 仅供辅助筛查,不能代替核酸标准
需强调的是,由其新冠眼部检测工具得出的评估内容,不能代替医生面诊和任何医疗工具所检测的结果。
付彦伟博士告诉智东西,任何辅助快速筛查手段,都不能代替核酸作为新冠检测的金标准,辅助快速筛查手段存在的意义,是为医疗机构认可的标准疾病诊断来提供更高效便捷的风险筛查和综合干预辅助。
此类手段更多便于提高面向大规模人群的疾病筛查的针对性与准确性,可发挥协助发现疑似高危对象群体、了解目标基础人群的疾病防控状况、降低大规模筛查的医疗与社会成本等价值。
跨地区、跨人种进行眼部检测临床实验,是一件难度颇高的长期工作。团队必须确保临床科研的合规性,每个在不同地区、不同机构进行涉及人体临床科研的实验,都需要临床注册和批件。
“我们在全球各个地区使用不同语言、适应不同的地区规范、符合不同地区的法律要求,无论是在成本投入、跨界协同、资源整合、数据合规、各种协议签署、争抢时间窗口的角度上来看,仅仅完成这个批件获得就是一个相当困难的事情。而这只是临床实验的一个开始。”付彦伟博士说。
而在实验中的各种临床数据获取、采集、分析、处理,达到学术研究的基本要求,又是另一个历经艰辛的故事。
因受到知识产权、联合研究机构NDA保密协议等相关商业规则限制,EYE TEST项目的“全球跨地区跨人种新冠眼部检测临床实验”只能选择可公开,或联合研究机构同意发表的内容进行发表。
同时,由于医学类顶级期刊的投稿时间长达到4个月左右,且要求补充临床数据和文章修回严格,项目团队已在医学杂志顶刊的投稿还暂未发表。
不过团队已经在不断撰写和投稿发表各种不同类型的眼部疾病检测和相关医学论文,其中多篇自2020年9月至今已在MEDRXIV预印本上发表,并被2021年第十四届欧盟公共健康会议、NVIDIA 2020 GTC中国线上大会智慧医疗和生命科学分论坛、2021NEXT SUMMIT国际展望大会生物医药与大健康论坛重要演讲收录。
04 结语:糖尿病检测已进入大规模内测
快速诊断是传染病防控的必修课,近年来,AI在加速医学影像分析和药研等医学健康领域正发挥着越来越重要的价值。而AI眼部检测技术作为医疗机构的前置辅助筛查手段,能为大众带来最低成本的日常健康风险筛查便利。
在持续优化实验的同时,AIMOMICS EYE TEST项目团队与几家国际互联网企业、手机企业、核酸检测企业的商业化地区内测已陆续完成,因受商业测试保密协议限制暂未公开。
此前该项目授权的欧洲合作企业已就新冠眼部检测技术获得了CE认证,其他医疗证照亦在申请中,并已经拿到数百万欧元以上的天使投资,累计获得数千万人民币的商业检测订单。
除了判别新冠肺炎外,据付彦伟博士透露,基于其眼部检测技术的糖尿病检测已经进入大规模内测,在内测临床实验数据集上准确率超过85%,团队还在进行即时检测血糖高低指标的实验。
孙强博士也提到团队计划随后陆续开放永久免费的“体温、心率、血压、情绪、糖尿病”demo以及非商业目的免费API。同时,团队已与国内外多家医疗机构分别布局了“病毒性流感、肺部疾病、肝部疾病、心脏疾病、心血管疾病、精神类疾病”的专项科研课题,将会很快挂牌全面启动。

▲眼表检测疾病规划
“希望通过我们的EYE TEST API PLATFROM,为全球更多对眼部检测有兴趣的企业和开发者,提供一个更开发便捷的科研交流与商业实践的平台。”孙强博士说。
本文来自微信公众号“智东西”(ID:zhidxcom),作者:心缘,编辑:漠影,36氪经授权发布。
相关推荐
自拍眼睛就能测新冠,这项AI技术国内免费开放,3秒获诊断结果
阿里提供欧洲新冠病毒AI诊断工具 已在中国成功试用
咳嗽两声,AI听了就能辨别你是否得了新冠?
国内医疗AI公司遭黑客入侵,新冠产品源码及数据被盗
AI说长这样挣得多:Nature力证科学看相,3万张自拍揭露面相与性格关系,碾压算命先生
闻一闻就能诊断癌症?可与“狗鼻子”媲美的AI癌症检测系统问世,或装在你的手机中
美国公开新冠数据集欲借力AI,人工智能如何参与全球战“疫”?
检测新冠病毒,AI功能终于找到真正价值?
李开复:新冠大流行将加速医疗AI革新
医疗AI新突破,国内首张AI“影像辅助诊断”软件三类证花落「安德医智」
网址: 自拍眼睛就能测新冠,这项AI技术国内免费开放,3秒获诊断结果 http://www.xishuta.cn/newsview51350.html
推荐科技快讯
- 1问界商标转让释放信号:赛力斯 95792
- 2报告:抖音海外版下载量突破1 25736
- 3人类唯一的出路:变成人工智能 25175
- 4人类唯一的出路: 变成人工智 24611
- 5移动办公如何高效?谷歌研究了 24309
- 6华为 nova14深度评测: 13155
- 7滴滴出行被投诉价格操纵,网约 11888
- 82023年起,银行存取款迎来 10774
- 9五一来了,大数据杀熟又想来, 9794
- 10手机中存在一个监听开关,你关 9519
