50年后,MIT等首次证实霍金面积定理,黑洞总视界面积达36.7万km²
本文来自微信公众号“机器之心”(ID:almosthuman2014),编辑:杜伟、陈萍,36氪经授权发布。
半个世纪后,MIT、石溪大学、康奈尔大学以及加州理工学院等机构的研究者通过观测引力波证实了霍金的著名黑洞理论——面积定理,也是自在数学上证明该定理后首次在自然界观测证实。

史蒂芬 · 霍金是现代最伟大的物理学家之一,他在科学上有诸多贡献,包括与英国数学物理学家罗杰 · 彭罗斯共同合作提出在广义相对论框架内的彭罗斯–霍金奇性定理,以及对关于黑洞会发放辐射的理论性预测。他的著作《时间简史:从大爆炸到黑洞》更是成为了最畅销的科普书籍之一。
1971 年,霍金提出了面积定理(area theorem),引发了人们对黑洞力学的一系列基本见解。该定理预言,黑洞视界的总面积不会减小。与热力学第二定律惊人地相似,该定律指出:熵,或物体内的无序程度,也永远不应该减少。这一定理也被称为黑洞物理学第二定律,也是霍金最著名的定理之一。
该定理已经在数学上得到了证明,但从未在自然界观测证实。
50 年后,来自 MIT、石溪大学、康奈尔大学以及加州理工学院等机构的研究者通过观测引力波首次证实了霍金的这一定理,其研究成果于今年 5 月被《物理评论快报》接收,并于今日正式发表。

论文地址:https://arxiv.org/pdf/2012.04486.pdf
研究者对 GW150914 进行了仔细的观察,它是由位于美国的激光干涉引力波天文台(LIGO)于 2015 年 9 月 14 日探测到的引力波现象,是人类首次直接探测到的引力波。这束产生于双黑洞的引力波信号与广义相对论中对双黑洞旋近、并合以及并合后的黑洞会发生衰荡(ringdown)的理论预测相符。
简言之,这一引力波信号是生成新黑洞的两个旋近黑洞的产物,伴随而生的巨大能量以引力波的形式在时空中波动。如果霍金的面积定理成立,则新黑洞的视界面积不应小于母黑洞的视界总面积。
研究者重新分析了宇宙碰撞前后 GW150914 的信号,发现合并(merger)后视界总面积的确没有减少,他们得出了 95% 的置信度结果。

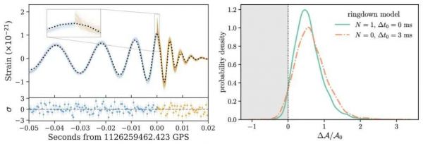
图左为 GW150914 的重建,图右为 GW150914 合并前后视界面积的分值变化。
研究者的发现是首次通过直接观测证实了霍金的面积定理。此外,研究团队还计划测试未来的引力波信号,观察是否可以通过它们进一步证实霍金定理或者成为新的绕开定理的物理学标志。
该研究一作、MIT 卡夫利天体物理学和空间研究所的 NASA Einstein 博士后研究员 Maximiliano Isi 表示:「有可能存在很多不同的致密天体,其中一些是遵循爱因斯坦或霍金定理的黑洞,另一些则略微不同。所以,我们并不是进行这一次观测就结束了,这仅仅是开始。」

部分研究者,从左至右依次为 MIT 博士后研究员 Maximiliano Isi、石溪大学物理与天文系副教授 Will Farr 和康奈尔大学助理研究员。
70 年代:探索黑洞的黄金时代
1971 年,史蒂芬 · 霍金( Stephen Hawking)提出了面积定理,由此引发了一系列关于黑洞力学的基本见解。该定理预测,黑洞视界的总面积以及宇宙中所有黑洞的总面积永远不会减少。这一定理与热力学第二定律有着奇特的相似之处,热力学第二定律指出,物体的熵或无序度也永远不应该减少。
这两种理论之间的相似性表明,黑洞可以表现为热的、放热的物体——这是一个令人困惑的命题,因为黑洞的本质被认为永远不会让能量外泄或辐射。
霍金最终在 1974 年将这两个观点进行了说明,表明如果考虑到黑洞的量子效应,黑洞可能会有熵,并在很长的时间尺度上发出辐射。这种现象被称为「霍金辐射」,至今仍是关于黑洞最基本的发现之一。

黑洞(中)在大麦哲伦星云前面的模拟图。
这一切都始于霍金意识到黑洞的总视界面积永远不会下降,面积法概括了 70 年代的黄金时代,所有这些洞察都是在这个时代产生的。
霍金和其他人后来证明了面积定理在数学上是可行的,但在 LIGO 首次探测到引力波之前,一直没有办法将其与自然相对照。

霍金听到这个结果后,很快联系上了 LIGO 联合创始人、加州理工大学费曼理论物理学教授 Kip Thorne。霍金的问题是:探测能证实面积定理吗?当时,研究人员没有能力在合并前后从信号中挑选出必要的信息,以确定最终视界区域是否没有像霍金定理所假设的那样减少。直到几年后,Isi 和他的同事开发了一项技术,测试面积定理才变得可行。
黑洞合并前后,满足面积定理吗?
2019 年,Isi 和他的同事开发了一种技术来提取 GW150914 峰值之后的混响——两个母黑洞碰撞形成新黑洞的时刻。该团队使用新技术挑选出特定频率,或其他嘈杂的余波信号,从而可以用来计算最终黑洞的质量和自旋。

黑洞的质量和自旋与它的视界面积直接相关,Thorne 回忆起霍金的疑问,提出了一个后续问题:他们能用同样的技术来比较合并前后的信号,并证实面积定理吗?
研究人员接受了挑战,再次在 GW150914 信号峰值时再次将其分开。他们建立了一个模型,分析峰值前的信号,对应于这两个合并的黑洞,并在两个黑洞合并之前识别两个黑洞的质量和自旋。根据估计,他们计算出了黑洞总视界面积,大约等于 23.5 万平方公里,大约是马萨诸塞州面积的 9 倍。
然后他们用之前的技术提取了这个新形成的黑洞衰荡(ringdown),即新形成黑洞的反射,由此计算了黑洞的质量和自旋,并最终计算出合并后黑洞视界总面积相当于 36.7 万平方公里。
「数据显示,合并后的视界面积增加了,而且面积定律满足的概率非常高,」Isi 说。「令人欣慰的是,我们的结果确实与我们预期的范式一致,并且确实证实了我们对这些复杂黑洞合并的理解。」
该团队计划进一步测试霍金的面积定理,以及其他长期存在的黑洞力学理论,测试数据来自 LIGO 和意大利的室女座 Virgo 的数据。
「令人鼓舞的是,我们可以以新的、创造性的方式来思考引力波数据,并解决我们以前认为不能解决的问题。可以不断梳理出那些我们理解的相关信息,总有一天,这些数据可能会揭示一些我们意想不到的事情。」Isi 说。
参考链接:
https://news.mit.edu/2021/hawkings-black-hole-theorem-confirm-0701
https://ahmedabadmirror.com/mit-physicists-confirm-hawkings-black-hole-theorem-for-first-time/81802405.html
相关推荐
50年后,MIT等首次证实霍金面积定理,黑洞总视界面积达36.7万km²
诺贝尔物理学奖颁给黑洞,或许是因为错过了霍金
人类真的“看见”黑洞了吗?
最著名的物理悖论,即将走向终结?
硬核!村民用无人机为全村消毒 喷洒面积达1.6万平方米
世界欠霍金一个诺贝尔奖
我们能看到黑洞的照片,还得感谢这位MIT博士小姐姐
「黑洞」赢了,霍金的战友们捧回了今年的诺贝尔物理学奖
人类又给黑洞拍照:黑洞射流清晰图像首次发布,验证广义相对论黑洞“子环”假说
中国的慧眼卫星,发现了黑洞的“秘密”
网址: 50年后,MIT等首次证实霍金面积定理,黑洞总视界面积达36.7万km² http://www.xishuta.cn/newsview46284.html
推荐科技快讯
- 1问界商标转让释放信号:赛力斯 95792
- 2报告:抖音海外版下载量突破1 25736
- 3人类唯一的出路:变成人工智能 25175
- 4人类唯一的出路: 变成人工智 24611
- 5移动办公如何高效?谷歌研究了 24309
- 6华为 nova14深度评测: 13155
- 7滴滴出行被投诉价格操纵,网约 11888
- 82023年起,银行存取款迎来 10774
- 9五一来了,大数据杀熟又想来, 9794
- 10手机中存在一个监听开关,你关 9519
