量子黑盒,是个什么玩意儿?
本文来自微信公众号:集智俱乐部(ID:swarma_org),作者:扈鸿业,译者:孙宇,原文标题:《解密神奇的量子黑盒》,题图来自电影《复仇者联盟》
量子态层析成像是一种重要的量子技术。量子器件的特性以及量子态的区分均依赖于该技术。这一技术旨在通过对量子系统的全同副本进行反复测量来重新构建密度矩阵。
停!上面这段话里有太多的专业术语,泡杯咖啡,让我们一起慢慢消化这些内容。

看到图片里的黑箱子了吧,量子系统其实就和这个黑箱子差不多。量子系统可以是某种人工量子器件,也可以是某些让人捉摸不透的纯天然量子力学系统,比如一些神奇的量子材料。
好奇心驱使人们想要弄清楚量子黑箱子里到底藏着什么东西。如果系统真的是一个箱子,打开它看一看,我们的好奇心就可以满足了。但是!对于量子系统,我们无能为力。如果追根溯源,似乎早在大自然决定了以何种方式储存量子信息时,这一挫败就已命中注定。你会发现,虽然经典信息单元(bit)没有什么隐私可言,可以随时对它进行观测,但量子信息单元,量子比特(qubits),却始终不肯过多暴露隐私,无论人们多么努力地试图窥探其中究竟。
量子世界的诡异体现于两点:
量子比特能够以状态叠加的形式存在;
你无法同时观测它的所有信息。
事物能够以叠加态的方式存在

如果你了解一点物理学史,你或许曾听说过薛定谔的猫。这只猫“冒着生命的危险”来向我们展示什么是量子叠加(注:这是一个假想实验)。如图所示,对于一个看上去要么是正自旋的状态(1态)或是反自旋的状态(0态)的量子比特,其真实状态可能是这两个状态的叠加。
通俗一点讲,量子比特可以同时在正自旋态(1态)和反自旋态(0态)。如果说这样说你的理性还能认可接受,请继续假想这样一种情形,如果之前提到的那个量子黑箱中恰好存在一只量子猫,我们把猫活着和正自旋(1态)建立联系,把猫死去和反自旋(0态)建立联系,那么这只量子猫可以处于既活着又已死去的神秘状态!既生又死将成为这只猫的实际的状态,这也是为何我们要对量子黑箱内部一探究竟的原因所在。
虽然我们想要了解这只量子猫,但这只量子猫似乎并不想让我们了解它的生活。对于一个量子系统而言,任何观测手段对其都是具有巨大破坏性的。
一方面,即使我们用极细微的光束进行探测,当光子与敏感的量子对象发生相互作用的时候,整个系统的状态都被严重的改变与偏离。另一方面,一个更为基础的原因是基于量子力学公理和量子系统的状态叠加行为,无论对具有生与死双重特性的量子猫进行何种探测,这只猫的状态都将塌缩到某一个确定的状态,生存态或者死亡态,而不能两者兼具*。
因此探测后得到的结果给不了任何有关这只猫探测前状态的信息。打个不是很恰当的比方,假如我们有这么一个活细胞,我们用激光来测定它的某些特性,但是由于激光的光压施加在细胞上会让这个细胞生活在一个具有压力的环境下,这种让细胞有压力的环境会改变它的特性,可能给我们展现的已经不再是它本身生活在舒适环境下的状态了(虽然这个比方可能不太恰当,因为细胞宏观性状改变和量子态的塌缩存在一些本质区别,宏观客体几乎不可能在宏观层面上展现态叠加行为)。
事物的不同方面无法被同时测定

一个物体会有许多不同方面的属性特征。例如一块蛋糕既包含颜色特征也包含形状特征。同样, 一个量子对象也会有许多不同方面的特征。比如,自旋矢量的z方向分量或x方向分量。对于任意一块蛋糕我们可以很轻松地同时获取到它的颜色信息和形状信息,但是对于量子系统,一旦两个特征的算符(算符:特征观测的数学表示)相互之间不对易(对易:一种数学关系,如果算符改变先后作用顺序而作用效果相同,则两个算符对易, 反之则不对易), 我们就没办法准确地同时获取这两个特征的信息。
通俗一点来讲,就好比我们有一块量子蛋糕盛放在量子魔术师的黑箱中,这块蛋糕的形状可能是圆也可能是方, 颜色可能是红也可能是蓝。一个诚实的守护精灵看守着这块蛋糕,我们可以问这个守护精灵“蛋糕是什么形状的”或者“蛋糕是什么颜色的”。不过这个精灵不允许我们针对这两个问题同时发问。
你或许会想,好吧,如果真是这样,我可以先问形状再问颜色,然后我们就自然知道全部信息啦。不过很可惜,量子魔术师比我们想的还要狡猾。真实情形很可能是这样:先问形状,守护精灵说“圆形”;然后问颜色,守护精灵说“红色” ;到目前还比较满意,让我们再和守护精灵核对一下吧,再问下蛋糕的形状,什么!守护精灵竟然说是“方形”!守护精灵可是从来不说谎的,为什么会是方形!看到了吧,这就是量子魔术师的狡猾。
这个魔术的背后与量子对象的状态叠加特性存在某种关系。大概这个量子魔术师的童话已经或多或少让你体会到量子世界令人费解的古怪离奇。
为什么我们需要关注量子态层析成像技术
虽然量子世界古怪离奇,科学家仍然能够设计实验来完全地揭示量子黑箱的真面目,并理解量子黑箱中那只量子猫“既生又死”的生存状态。这个手段就是量子态层析成像技术(Quantum state tomography), 简称QST。量子态层析成像技术很重要。一方面,我们想要从科学的角度出发理解这些量子系统。比如,量子材料(例如超导体)展现出迷人而诡异的特性,一旦我们理解这些性质, 我们就能够利用它们的特性来造福社会。

另一方面,人类对于量子信息的驾驭与操控程度标志着我们的技术水平。我们希望自己设计量子材料、操控量子信息能够像建造计算机、操控传统信息那样随心自如 。在传统计算的时代,我们制造了计算机器,这些机器以二进制数位串(bit string)的形式存储信息,并以此为基础进行各种运算或信息交互:编写程序进行数值模拟、网上购物等等。
经典信息时代的到来对我们的生活在21世纪产生了重大的影响。假如有朝一日我们真的搭建出一台量子机器(比如量子计算机,或者量子模拟器),这台量子机器将会以量子数位串(qbit string)做为基础。到那时我们可能就需要用量子态层析成像技术来实现对这些量子信息的读取了,那将会是一个全新的量子信息人类时代。
量子态层析成像技术有多困难
鉴于我们前文所提及的量子系统所展现出的各种诡异特性,量子态层析成像技术实际上非常困难。曾有人证明过,如果我们想要了解一个量子系统的所有细节(即量子态层析完全成像),并且我们对这个量子系统没有任何先验知识,所需要进行的试验数量会随着系统尺寸增大而指数型增加。
打个比方,测定两个量子比特的信息,我们只需要4次实验;测定10个量子比特的信息,我们需要1024次实验;如果要测定100个量子比特的信息,我们需要 1267650600228229401496703205376次实验!相比这个复杂性的增长速度,传统比特真的只是小意思。
但是真的就毫无办法么?如果我们的确是对这个量子系统一无所知,而又想了解它的所有特性, 我们真的毫无办法。还好,对于某些情形,我们还有商量的余地。
方案一:假如我们对这个量子系统有一些了解,我们可以基于这些信息做出某些符合实际情形的假设,基于这些假设进行层析成像实验,这时所需实验数量就不再是指数量级那么恐怖了。
矩阵直基态态层析成像技术( matrix product state tomography)、约化密度矩阵层析成像技术(reduced density matrix tomography) 还有一些新兴的机器学习层析成像术都是遵循这一思路的实际层析成像技术。
如果有人想了解用信息完备的POVM测量实现基于机器学习的层析成像术, 可以参考我的公开程序(repo:https://github.com/hongyehu/Machine_Learning_Quantum_State_Tomography),那里有我用pytorch语言编写的一些相关程序模拟和实现。
第一种方案很优秀。但是不可避免可能会带来一些小小的偏差,因为假设并不一定总是准确无误的。最近出现了另一种优秀的层析成像方案。我们称之为阴影层析成像(shadow tomography)。这一成像方案是我们这篇研究论文的主要关注点。我们将会在下面的章节中介绍这种方案。
方案二:阴影层析成像。在许多任务中,我们之所以运用层析成像技术是因为我们想要预测量子系统之后的某些行为或特性。为了实现准确预测这些系统行为的目的,有时候我们不必完全了解这个量子系统的全部特征。
接下来,我们将向大家展示传统阴影层析成像的基本思想,并对我们在“哈密顿量驱使的阴影层析成像”《Hamiltonian-driven shadow tomography》[3]中的结果进行一些介绍。
量子态阴影层析成像

为了理解量子态阴影层析成像的概念,先让我们看一个经典系统中的例子。假如在一个房间里存在某个物体。我们想要知道这个物体的形状,但我们没有办法触碰它。我们可以通过投射光线的形式观察这个物体的阴影。为了大致估测物体的形状,一种有效的方式就是从不同的角度进行光线投射,并收集各个角度下的阴影形状。通过这一系列投影,我们可以大致重构出这个物体的形状。不得不提及的一点是,最高效准确的投影方式竟然是选取一组随机的投影方向!

量子系统的阴影层析成像[1,2]沿用相同的思路。只不过这回我们要研究的对象由经典物体换成了数学上由密度矩阵表示的量子物体。为了获得对量子态的有效估计,在实验中我们随机选择投影的角度进行测量。我们收集这些量子态的经典阴影,并用计算机对这些阴影信息进行分析与处理。(上图就是一些量子态经典阴影的示例)

一旦我们得到这些阴影信息,我们可以对这些阴影进行一些特殊的线性组合从而得到对应量子态的信息。如在图中所展示的,通过处理一组阴影信息,我们重构出量子系统的猫态/GHZ态。
研究者们之所以喜欢阴影层析成像的一个原因是,这种层析成像方案是能够做到最高效的层析成像方案之一(maximal efficiency bound)[2]。实际上,如果我们所关心的物理量是量子保真度(quantum fidelity)这样的单秩量(rank-1 observable),我们只需要进行固定数量的阴影层析成像实验就可以获得特定的精准度,无论系统尺寸有多大!这真是太神奇了!
哈密顿量驱动的量子态阴影层析成像
在前面的部分,我们已经了解到,阴影层析成像利用随机投影测量的方式来收集量子态的经典阴影。随机的投影方向在这个过程中起到了至关重要的作用。因为它以一种无偏的方式抓取出最重要的信息。在实验中,研究人员可以通过全局随机Clifford门(global random Clifford gates)来改变量子态并在计算基底(computional basis)上进行测量。全局随机Clifford门能够以最高效的方式扰乱信息以便于计算基底测量能够抓取到所有信息。虽然这个方案在实际实验中实现起来有一点困难。

我们在论文中提供了思考这个问题的另外一种方案。如图所示,我们在这一方案中利用一般的具有混沌性质的哈密顿量(哈密顿量:决定物理体系如何演化的一种数学描述)来对系统进行演化,进而在计算基底中进行投影测量。换句话说,这些投影角度由随机演化所决定。
在我们的这个方案中,我们认为在近期具有噪声的中型规模量子机器(noisy intermediate-scale quantum)中哈密顿量驱动的量子态阴影层析成像可能会是一种更为可行的方案。此外这个方案还能为我们提供系统的信息动力学,并允许我们在层析成像中对量子信息如何演化和进行信息混杂(scrambling of quantum informations)进行一些探究。
1. 测量效率与信息脉动(scrambling beat)
在我们的论文中[3],我们从理论上计算了基于哈密顿量演化的量子态阴影层析成像的重构通道,这一通道能够把真实量子态借助经典阴影重新构造出来。我们还从理论上探索了我们这一方案的效率。首先,在体系演化时间分别趋于零或无穷大的极限下,我们很容易理解这两个极限。
2. 时间趋近于零的极限
在这一极限下,量子态基本上不会演化。当我们在计算基底(比如自旋-z基底)上进行投影测量,我们可以很容易地构造出相应密度矩阵的对角化信息,而这时密度矩阵非对角元信息将会全部丢失。事实上,如果我们只是关注密度矩阵的对角元信息,进行一些“经典”物理量的预测,比如材料磁化,这时这一方法相比与Huang et al. [2]等人的阴影层析成像结果要快上一个因子D倍[2],其中D是希尔伯特空间大小,随体系大小指数增长。
3. 时间趋近于无穷大的极限
在这一极限下,混沌哈密顿量使量子态完全混乱,这时我们的方案就与最优化效率的随机Clifford阴影层析成像方案[2]等价。
4. 过渡时间窗口和信息脉动

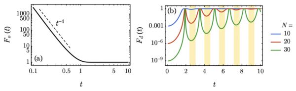
在演化时间处于零和无穷大之间的过渡时间也是有趣现象发生的时段。上图大致展示了我们方案和随机Clifford方案[2]的效率对比率。左图展示了非对角元观测量的层析成像效率。右图展示了对角元观测量的层析成像效率。
对于非对角元素观测量的预测,随着时间趋近于零,在缺少信息混杂的情况下从计算基底中推断非对角元素信息变得不可能。因此对于非对角元而言,效率随着时间趋近于零而发散。
随着时间演化,非对角元素信息被混杂进来,从而可以进行层析成像,如左图所示,Fo(t) 随时间的-4次幂衰减,说明对于非对角元素的重构效率越来越高。超过由哈密顿量所决定的能量分布的特征时间尺度后, Fo(t)迅速的趋近于1。因此在哈密顿量驱动的阴影层析成像中,对于非对角元观测量,我们只需要等待一个固定的时间保证信息混杂足够充分,就可以保证我们这一方案的效率达到和前人方案一样的最优结果[2]。
对于对角元素观测量的预测,在时间为零时,Fd(t)的量级约为Fd(t)~ D-1=2-N,随着系统尺寸的增大而指数式减小。在没有任何信息混杂的情形下,对计算基底的测量就相当于直接对密度矩阵对角信息的测量。因此相比于一般情形下的阴影层析成像,我们的方案用更少样本就可以推论出对角元观测量量。随着时间演化,对角信息被打乱。因此需要更多样本来达到某一特定准确率。故而对角元层析成像的效率随着时间而衰减,与非对角元效率的随时间演化趋势正好相反。
有趣的是,在Fd(t)饱和于它的长时极限之前,Fd(t)周期性的出现极大值尖峰(如上方右图所示)。在这些尖峰处,对角信息被极大程度的扰乱,然后又会出现信息回溯的现象,因此我们将这一现象命名为信息脉动(scrambling beat)。
在相干哈密顿量演化下的有限尺寸系统中,受扰动的信息会出现周期性的反弹,进而导致Fd(t)的脉动行为。这很类似于化学中的“时钟效应”(clock phenomenon, 对这个现象感兴趣的可以观看这个视频:https://www.youtube.com/watch?v=WpBwlSn1XPQ)。不过,这种信息脉动的持续时间是依赖于系统尺寸的。表征信息脉动时长的特征时间尺度在td~ D1/6=2N/6这个量级。在这个时间尺度之前,我们可以抓住信息脉动尖峰与尖峰之间存在时间窗口期(如上图中黄色阴影所示)对与对角元素的观测量进行有效的预测,同时对非对角元素的观测量也达到有效的预测。
总结
做一个简单的总结,我们提出用哈密顿量所产生的演化来对量子体系进行阴影层析成像。我们探究了哈密顿量驱动的阴影层析成像方案的效率并表明这一方案优于传统的阴影层析成像。尽管我们的分析目前仅基于GUE随机哈密顿量,我们期望这个结果能够被扩展到其他类型的量子混沌哈密顿量中。
致谢:
本文作者感谢与加州理工的黄信元和刘俊宇具有启发性的讨论
本文作者感谢北京大学物理学院吴飙教授的建议与讨论
参考文献
[1]Scott Aaronson. arXiv:1711.01053. Shadow tomography of quantum states.
[2]Hsin-Yuan Huang, Richard Kueng & John Preskill. Nature Physics volume 16, pages1050–1057(2020). Predicting many properties of a quantum system from very few measurements.
[3]Hong-Ye Hu, Yi-Zhuang You. arXiv:2102.10132. Hamiltonian-driven shadow tomography of quantum states.
原文链接:
https://hongyehu.github.io/Hamiltonian-driven-shadow-tomography-page/
本文来自微信公众号:集智俱乐部(ID:swarma_org),作者:扈鸿业,译者:孙宇
相关推荐
量子黑盒,是个什么玩意儿?
冲破90天教育“黑盒”,是在线教育们自己的高考
AI新规则(四):谷歌押注量子计算,这对人类意味着什么?
Google 开源量子机器学习库,量子计算和机器学习结合会改变什么?
内幕故事:科技巨头争夺量子霸权的高风险角逐(中)
谷歌「量子霸权」背后:美国政府是如何支持量子计算事业的
量子隧穿是瞬时的吗?
内幕故事:科技巨头争夺量子霸权的高风险角逐(上)
微软搞拓扑量子计算,是一场大乌龙?
内幕故事:科技巨头争夺量子霸权的高风险角逐(下)
网址: 量子黑盒,是个什么玩意儿? http://www.xishuta.cn/newsview39240.html
推荐科技快讯
- 1问界商标转让释放信号:赛力斯 95792
- 2报告:抖音海外版下载量突破1 25736
- 3人类唯一的出路:变成人工智能 25175
- 4人类唯一的出路: 变成人工智 24611
- 5移动办公如何高效?谷歌研究了 24309
- 6华为 nova14深度评测: 13155
- 7滴滴出行被投诉价格操纵,网约 11888
- 82023年起,银行存取款迎来 10774
- 9五一来了,大数据杀熟又想来, 9794
- 10手机中存在一个监听开关,你关 9519
