Tony老师,我明明染的蓝黑,怎么就绿了?
本文来自微信公众号:科学大院(ID:kexuedayuan),作者:氘氘斋(清华大学化学博士),题图来自:韩国艺人李知恩
早上起床,拥抱太阳!
看看镜子里,头发的模样~
数月没烫染,感觉心痒痒,
整个锡纸烫,还是大波浪?
都不如选择,把蓝黑色染上!
看到这里,你是不是也想折腾一下自己的头发了?大院er今天要为大家推荐的是——蓝黑色染发,只需要花一次钱,享受多重发色。
你去网上搜“染蓝黑色”,搜到最多的不是染发后多酷多美,而是这个发色“充满欢乐”的褪色过程。
如果你够胆量尝试染蓝黑色,你将在1~2个月内接连收获孔雀蓝、蓝绿、草原绿、亚麻青等丰富多彩的颜色,以及“或许会迟到却永不缺席”的黄色。
说到这里,你知道为什么把头发染成蓝黑色后会发生如此有趣的褪色过程吗?

刘星同学早就有了这个大胆的想法(图片来源:《家有儿女》剧照)
想要变色,头发需要经历啥?
关于蓝黑色褪色之谜,笔者先卖个关子,让我们先来了解染发的原理。别看从黑色到蓝黑就多个蓝字儿,这劲可费大了。
我们的头发虽然是一根根纤纤细丝,但却分成了外皮层、内质层和髓质层三层结构。其中,跟染发有密切关系的是前两层。外皮层主要是无色透明的角蛋白,在健康的头发上,它像无数瓦片,鳞次栉比地排列在发丝上,起到保护的作用,相当于头发的透明保护壳。而真正决定发色的是内质层,它由丰富的纺锤状细胞组成,含有大量天然黑色素。
对于人类来说,头发中的天然色素就两种:真黑素和棕黑素,合称黑色素。顾名思义,真黑素负责黑,棕黑素负责棕(黄)。真黑素从少到多,头发会从灰变黑;棕黑素从少到多,头发会从淡黄到深棕。理论上,任何天然发色都由这两种黑色素的数量和比例决定。比如北欧有很多金发美女,她们的头发中两种黑色素的数量都很稀少。

“懂王”年轻时是棕黑发色啊,看来这些年他的真黑素流失了不少。左图“懂王”时年42岁,右图时年74岁(图片来源:腾讯新闻)
下图简明地展示了染发的主要过程,且听我细细道来。

永久性染发原理。所谓“永久性”是指清洗12次以上仍能保持发色,还有更为简单的临时性染发(只含色素,一次清洗)和半永久性染发(不含氨水,可能含氧化剂,数次清洗)(图片来源:labmuffin)
要想染蓝黑色,不能在黑发的基础上直接染蓝,必须先用双氧水和氨水给头发来个漂白,把黑色素统统氧化、褪色,再重新染上调配好的蓝黑色染料。事实上,只要你想染的发色不是棕黄色系,漂白是完美呈现新发色的必备步骤。
双氧水大家都知道是常用的氧化剂,能够氧化掉黑色素,这很好理解,氨水是干啥用的呢?原来,刚刚提到的外皮层对色素分子的转移具有很好的阻挡作用,有它在,漂白过程会很慢,而且效果不好。而氨水的强碱性能使原本紧密排列的角蛋白翘起,像伞被打开一样,这样外皮层便失去了对色素分子的阻挡作用。一方面双氧水的氧化反应更容易发生,另一方面很多黑色素分子直接从头发中脱落,可谓事半功倍。

(图片来源:veer图库)
漂洗头发要闻着刺鼻的氨水味,还挺难熬的,但这一步非常需要耐心。根据笔者多位女性朋友的经验,漂洗得越彻底,头发越接近白色或淡黄色,后续染发效果才越好,除非你的新发色需要棕黄作为底色。美丽从来都不是容易的事情啊。
漂白完成,下面就开始染色啦。这时候,Tony老师会取出两瓶东西,将一黑一白两坨泡沫挤到杯子里混合,味道也非常刺鼻。没错,里面还是有氨水和双氧水的。此时的染发膏看起来并不是你的目标色,不过没关系,Tony老师将它均匀涂到你的头发上,等30~60分钟洗去、吹干,即可得到一头蓝色的头发。
染发哲学的化学原理
这个过程看似简单,实则会发生非常复杂的化学反应。染发的核心物质有四个:中间体、偶联剂、氧化剂(双氧水)、碱(氨水)。
染色环节中,双氧水和氨水主要作用是为新色素的生成提供氧化物及碱性条件,促进化学反应的发生。当然,这一步中它们仍然能起到一定的漂白作用。
真正的主角是中间体和偶联剂。中间体可谓是现代染发技术的灵魂,主要是指对苯二胺(PPD)和它的亲戚们。

常见中间体:对苯二胺PPD(左)、对氨基苯酚(中)、N,N-双(2-羟乙基)对苯二胺(右) (图片来源:自制)
PPD染发剂的发明是染发工业第一块也是最重要的基石。在此之前,爱美的女士们只能用一些天然来源的动植物染料和矿物染料改变发色,效果不持久,还经常有重金属中毒等未知的风险。
19世纪中期,英国化学家亨利·伯金和奥格斯特·霍夫曼从煤焦油中提取出一种接触空气后才会变色的染料分子——PPD。到了1909年,法国化学家尤金·舒勒以PPD为核心成分,首次发明出安全的商业染发剂。次年,法国无害染发剂公司成立,专门销售PPD染发剂。这个公司你或许没听过,但它日后发展成了大名鼎鼎的个人护理与美妆巨头欧莱雅公司(L'Oreal)。
PPD有两重功能:第一,它对头发外层的角蛋白有非常强的亲和力,能氧化角蛋白,使色素分子更容易附着上;第二,也是更为关键的功能是参与形成新色素。
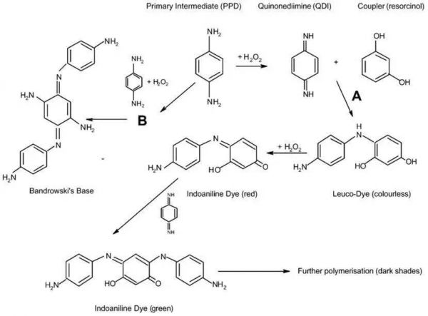
要形成新色素,PPD还需要好帮手偶联剂,后者负责把多个PPD分子串联起来,形成更大的分子。新的分子有更大的共轭体系,吸收波长不同,会产生不同的颜色。下图便以常用的偶联剂间苯二酚为例,描述了新色素产生的化学反应。

中间体与偶联剂生成新色素分子的反应过程(图片来源:Food and Chemical Toxicology)
PPD首先被双氧水氧化成醌二胺(QDI),接着醌二胺与偶联剂间苯二酚反应成无色的中间体,继续被双氧水氧化、与新的醌二胺反应,形成各色吲哚苯胺类染料。随着链长增加,颜色会变得更深。整套反应需要约30~60分钟,这就是你为啥染发时要等这么久。
偶联剂的种类决定了新色素的颜色,你可以从下图中轻松找到目标发色所需的偶联剂种类。例如,你想染成蓝黑色,就需要2,4-二氨基苯氧基乙醇这一偶联剂实现。

不同偶联剂与PPD反应后形成的颜色(图片来源:compound interest)
洗净染发剂后,再用弱酸性的护发素中和掉氨水,让头发的角蛋白重新闭合,这样新色素分子就被关在内质层,插翅难逃。有研究估算过,角蛋白层允许6 Å(1 Å等于0.1 nm)以内的分子通过,苯环分子直径大约5 Å,也就是说一旦角蛋白层闭合,绝大部分芳香族色素分子(远大于苯环的尺寸)都难以通过,这就达到了延长色彩维持时间的目的。当然,这并不绝对,头发的角蛋白层不可能那么完美无缺,碱性洗发水的使用也会加速色素分子流失。
到底为啥会拥有五彩斑斓的蓝黑?
到这里我们弄明白了染发的主要原理和过程,终于要揭晓蓝黑色头发的褪色之谜了,其实道理非常简单。在漂白那步,笔者强调过,漂白是否彻底会影响染发的效果。如果漂白效果不好或时间不够,顶着一头明显的黄发就进行染色,就非常可能发生一系列“褪色事故”了。
就如前面讲到的,不存在真正“永久”的染发,每次清洗多多少少都有蓝黑色素分子流失。随着蓝黑色素减少,渐渐遮挡不住本底黄色,转而与黄色混合出绿色。蓝色与黄色的比例不同,产生的绿色也不一样。当蓝色退尽,便只剩黄发了。

不完全漂白后染蓝黑色的褪色过程(图片来源:自制)

完全漂白后染蓝黑色不会形成各种绿色(图片来源:自制)
除了染发的颜色,小伙伴们也非常关心的还有染发剂的安全性。在与染发爱好者交流时,她们也常咨询笔者安全性的问题。不过嘴上说怕,身体还是很诚实地去染了。显然,商业染发剂并不绝对安全,过敏时有发生,损伤发质更是大概率事件,但致癌性尚无定论。下表的建议希望可以帮助朋友们更安全地使用染发剂。

表:商业(永久性)染发剂的安全风险和应对措施
读完这篇文章,相信你能更专业地与Tony老师交流染发心得,做这个夏天最靓的仔。
参考资料:
1. Toxicology of Hair Dyes. The Science of Hair Care, 2005, 313-349
2.Toxicity and human health risk of hair dyes. Food and Chemical Toxicology, 2004, 42, 517–543
3. Wikipedia
本文来自微信公众号:科学大院(ID:kexuedayuan),作者:氘氘斋(清华大学化学博士)
相关推荐
Tony老师,我明明染的蓝黑,怎么就绿了?
好好的iPhone 12,怎么说绿就绿了?
塑料蓝、原谅绿,iPhone 12为什么跟颜色过不去?
吐槽蓝色才刚过去,iPhone 12 怎么又和「绿」扯上关系了?
在线教育“暑期大战”,网课营销变身Tony老师?
110岁的欧莱雅转型如何了?我去巴黎围观了一下
好好的大学毕业典礼,怎么就成了“僵尸开会”?
你随便动幕布,投影跟不上算我输:动态投影黑科技,AE特效秒变成真
听他们讲述:2019年我是怎么赚到钱的?
我所认识的俞军老师
网址: Tony老师,我明明染的蓝黑,怎么就绿了? http://www.xishuta.cn/newsview25084.html
推荐科技快讯
- 1问界商标转让释放信号:赛力斯 95792
- 2报告:抖音海外版下载量突破1 25736
- 3人类唯一的出路:变成人工智能 25175
- 4人类唯一的出路: 变成人工智 24611
- 5移动办公如何高效?谷歌研究了 24309
- 6华为 nova14深度评测: 13155
- 7滴滴出行被投诉价格操纵,网约 11888
- 82023年起,银行存取款迎来 10774
- 9五一来了,大数据杀熟又想来, 9794
- 10手机中存在一个监听开关,你关 9519
