GPT-5 Pro独立做数学研究,读论文后给出更精确边界,OpenAI总裁:这是生命迹象
AI已经能够自主思考并证明新的数学规律了?
OpenAI研究人员表示,自己喂给GPT-5 Pro一篇论文,结果模型读完之后得到了新的结论。
在凸优化问题当中,GPT-5 Pro针对一个边界问题,给出了比原文更加精确的阈值和相应证明。
消息立即引发全网热议,不到半天推文就有230多万次阅读。

不过这位研究人员并没有将GPT-5 Pro的研究成果发表成论文,理由是被人类抢先了——
这篇论文后来又更新了一个版本,给出了新的边界,这个新的边界又把GPT-5 Pro反超了。
但是,GPT-5 Pro的证明思路与此并不相同,说明它已经具备了独立探索的能力,所以人类的反攻也不影响这是GPT-5 Pro的一个新突破。
OpenAI总裁Brockman甚至将这一成果称之为“生命迹象”。

凸优化曲线是凸的吗?
喂给GPT-5 Pro的这篇另论文,研究的是凸优化(convex optimization)问题,凸优化是数学最优化的一个子领域,研究定义于凸集中的凸函数最小化的问题。
具体来说,这篇论文题目为《凸优化曲线是凸的吗?》,研究了这样的一个问题:
当使用梯度下降算法优化光滑凸函数时,其产生的优化曲线(optimization curve)是否是凸的?
这里的“优化曲线”指的是函数值f(x_n)随迭代次数n变化的曲线。如果这条曲线是凸的,意味着优化速率(即相邻两次迭代的函数值下降量)是单调递减的。

关于这个问题,论文的结论是优化曲线凸不凸,关键取决于步长(step size)的选择,具体包括如下几个关键点:
凸性保证区间:当步长η ∈ (0, 1/L]时(L为平滑度),优化曲线保证是凸的;
非凸可能区间:当步长η ∈ (1.75/L, 2/L)时,即使梯度下降仍单调收敛,优化曲线可能不是凸的;
梯度范数性质:对于整个收敛区间η ∈ (0, 2/L],梯度范数序列||∇f(x_n)||总是单调递减的;
二阶可导凸函数的梯度流凸性:对于凸且二阶连续可导的函数,梯度流的优化曲线总是凸的;
光滑凸函数的梯度流凸性:对于凸L-光滑函数(不要求二阶可导),梯度流的优化曲线总是凸的;
梯度流的梯度范数单调性:对于连续时间的梯度流,优化曲线总是凸的;
关于第一个结论,证明的核心是证明序列{f(x_n) - f[(x_(n+1)]}非递增。
论文作者巧妙地引入辅助函数g_k(t),将离散的迭代过程转化为连续函数的积分,利用凸函数的性质证明辅助函数的单调性,通过比较相邻两个辅助函数的大小关系,最终证明优化曲线的凸性。

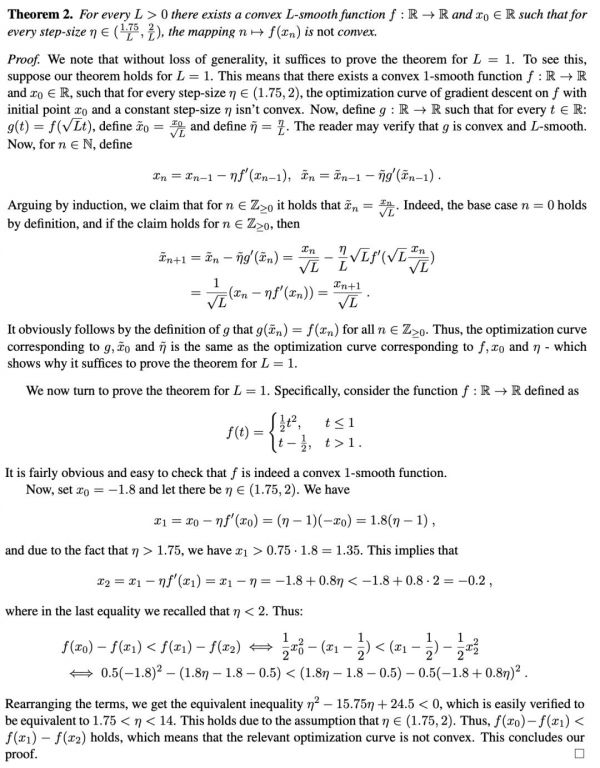
非凸可能区间部分则是构造一个分段函数(二次函数和线性函数的组合)作为反例实现证明。
作者选择特定的初始点x_0 = -1.8,通过直接计算前三步迭代的函数值下降量,验证在该步长范围内,后面的下降量反而比前面大,违反了凸性要求。

由于GPT-5 Pro的证明主要针对的是边界问题,后面四个结论的证明过程在这里就不详细介绍了,感兴趣的话可以阅读原论文。
GPT-5 Pro给出新边界
在论文的第一版中,作者分别证明了步长不大于1/L和大于1.75/L时的情况,但在(1/L, 1.75/L]范围内则未有定论。
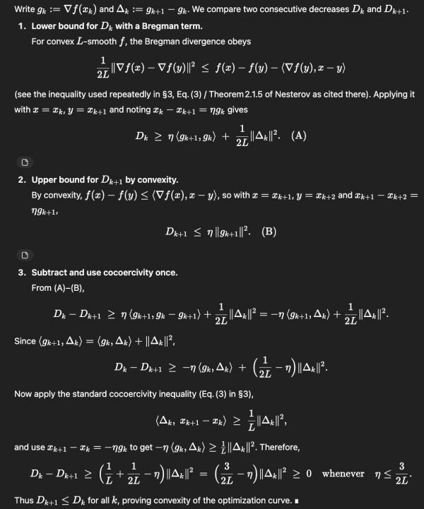
GPT-5 Pro则是通过更精细的不等式技巧,用17分半的时间把1/L这个边界移动到了1.5/L。
而人类检查证明过程的时间,是25分钟,GPT-5 Pro读论文并进行证明的时间还要长。

其核心思路与原论文相似,均是将优化曲线凸性问题转化为证明函数值下降量递减。
但GPT-5 Pro巧妙运用了凸L-光滑函数的两个基本不等式——Bregman散度不等式(提供更紧的下界)和标准的共强制性(cocoercivity)不等式。
通过这种巧妙的代数操作,GPT-5 Pro成功将凸性条件进一步细化。

再之后,GPT-5 Pro的发现还未来得及发表,论文原作者就对论文进行了更新,作者新增了一名,关键是证明了1.75/L就是一个精确界限,之前未探索的区间实现了闭合。
其思路是利用凸L-光滑函数的Bregman散度不等式,对三个点对(x_0,x_1)、(x_1,x_2)和(x_0,x_2) 分别建立不等式,之后将三个不等式分别乘以不同权重后求和,并通过恒等式将复杂的梯度项组合化简。

虽然GPT-5 Pro给出的证明最后被人类扳回一城,但是,其思路和过程与新版论文不同。
也就是说,GPT-5 Pro并不是发现了新论文才实现边界的精确化,而是确实具备了自主发现并证明数学规律的能力。
参考链接:
[1]https://x.com/SebastienBubeck/status/1958198661139009862
[2]https://arxiv.org/abs/2503.10138v1[3]https://arxiv.org/abs/2503.10138v2
本文来自微信公众号“量子位”,作者:关注前沿科技,36氪经授权发布。
相关推荐
重新体验GPT-5后,我想它比GPT-4o 更需要一场葬礼
奥特曼剧透GPT-5将免费使用,o3独立发布被腰斩,OpenAI 疑似内涵DeepSeek
金星上有生命迹象?这是《自然》重大发现的背后故事
最新内幕:GPT-5没能取得技术突破,OpenAI核心投奔小扎另有隐情
OpenAI“截胡”IMO金牌,奥特曼为GPT-5献上“核弹级”预热
GPT-5摊上大问题:烧了数亿美金后OpenAI发现牛吹早了
OpenAI的“新突破”:通用验证器
GPT-5问题太多,奥特曼带团回应一切,图表弄错是因「太累了」
OpenAI推出GPT4.5研究预览版:迄今最大的模型
“AI登月时刻”,OpenAI模型摘取奥数金牌
网址: GPT-5 Pro独立做数学研究,读论文后给出更精确边界,OpenAI总裁:这是生命迹象 http://www.xishuta.cn/newsview140797.html
推荐科技快讯
- 1问界商标转让释放信号:赛力斯 95792
- 2报告:抖音海外版下载量突破1 25736
- 3人类唯一的出路:变成人工智能 25175
- 4人类唯一的出路: 变成人工智 24611
- 5移动办公如何高效?谷歌研究了 24309
- 6华为 nova14深度评测: 13155
- 7滴滴出行被投诉价格操纵,网约 11888
- 82023年起,银行存取款迎来 10774
- 9五一来了,大数据杀熟又想来, 9794
- 10手机中存在一个监听开关,你关 9519
