天空在坠落
“这个世界为什么越变越糟了?”
也许原本这个世界越来越富足并没有越变越糟,但是人们确实相信它变糟了。而这种相信真的引导着世界越来越糟:各种民粹上台,国家间的战争阴云密布,人们的观念撕裂再也无法弥合。
这究竟是为什么呢?
其罪魁祸首,大概率是移动互联网。
在传统媒体时代,信息传播更加依赖于中心化的媒体渠道,如电视和报纸。那个时候,个人在信息传递过程中的作用非常有限。
在互联网时代(尤其智能手机时代),负面信息(愤怒、焦虑、恐慌等情绪)的传播速度呈几何级数增长,远远超过正面信息。因为每个人都是负面信息传播的放大器,使其在短时间内实现‘一传十、十传百’的效应。相比之下,正面信息往往缺乏在数字世界中迅速吸引眼球的力量。
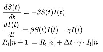
一、节点动力学
现在,我试图创建“节点动力学”和“传播动力学”来建模分析。
节点动力学:每个节点(个体)有不同的反应概率和传播潜力。
传播动力学:信息的传播可以被建模为一个动态过程,受到多种因素的影响,如节点的连接强度、信息的吸引力、外部干扰等。
我们可以使用一系列的微分方程或差分方程来描述这个系统的动态行为。
网络结构:网络可以表示为一个图 G=(V,E),其中 V 是节点的集合,E 是边的集合。每个节点代表一个个体,边代表个体之间的交互。
节点状态:每个节点 v∈V 在任意时刻 t 都处于以下三种状态之一:
易感状态 S(t):尚未接收到信息的个体。
传播状态 I(t):已接收信息并在传播的个体。
康复状态 R(t):停止传播信息的个体。
传播动力:设 β 是从易感状态转变为传播状态的概率(即信息传播的概率),γ是从传播状态转变为康复状态的概率(即停止传播的概率)。模型可以用以下微分差分方程组表示:

但是,这个模型还有个重要缺陷,就是忽视了不同群体的差异:比如普通老百姓和精英群体的差异、不同宗教群体的差异或中西人民的差异,等等。
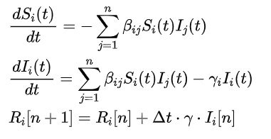
二、群体动力学
所以我们改进一下,引入“群体动力学”。
多层网络结构:假设我们有一个多层网络,每一层代表一个不同的社会群体或宗教政治派别。设 G1,G2,…,Gn 是这些网络层,每一层包含若干个节点,代表个体。
群体间的连接:设 Eij 是从层 Gi 到 Gj 的边集合,代表不同群体间的信息流。
状态转换率:定义不同群体间状态转换的概率。设 βi 是层 Gi 的个体受到层 Gj 影响而变成传播状态的概率,γi 是层 Gi 中传播状态变成康复状态的概率。
模型方程:对于每个群体 Gi,可以写出如下方程组:

群体动力学的主要挑战在于如何将这种心理社会因素(如情绪的模糊性和谣言的重要性)与网络中群体的行为状态相结合,所以我们又要研究心理学。
三、爱与仇恨的心理学
现在,任何人都可以通过社交媒体发布信息,而这些信息常常是通过情感操控、夸张和误导来吸引注意力。这使得仇恨言论可以迅速传播并影响更多的人。我们看到很多群体性仇恨针对自己没见过的外国人或外族人,而且成为思想的烙印一辈子无法消除。
那爱的信息为什么传播困难呢?因为负面信息(如仇恨或恐惧)在人类心理上有更强烈的影响。人们倾向于更关注和响应可能对他们构成威胁的信息,而积极、正面的信息(如爱和善意)虽然受欢迎,但可能不会引起同样的紧迫感或迫切需要分享的感觉。此现象在社会心理学中被称为“负面偏见”,即人们倾向于更多地注意和回应负面信息,因为这在进化上有其生存意义:知道如何避免豺狼的攻击比知道怎样欣赏落日美景重要得多。
所以问题更复杂了,我们需要量化心理学因素:我们需要确定哪些心理学因素对信息传播有重要影响,并能够被量化。例如,我们可以考虑个体对信息的信任度、情绪反应的强度、与信息相关的焦虑或恐惧水平等来建立参数模型:举个例子,信任度可以用0到1之间的数值表示,情绪反应强度可以通过测量生理反应(如血压心率变化)来量化。
相关动力学方程也需要修改:基于心理学参数,修改动力学方程来反映心理学因素对不同类信息传播的影响。例如,传播率(β)可以被设定为与信任度和情绪反应强度成正比。
四、亘古不变的自私
以上的建模看起来有点意思吧?但是,我没有数据来验证和改进。也许,对于社交媒体巨头,他们有海量的数据可以做心理学和动力学分析,但这是我做不到的。
所以瞎白活了半天,最终只能再回到第一性原理思想实验。
什么是人类几千年来亘古不变的最基础的东西呢?
我认为应该是个体对安全和温饱的追求,而且这种追求是自私的。
讽刺的是,就是因为自私,导致个体一定会普遍被利用,成为耗材。被谁利用呢?也许是权力,也许是企业,也许是坏人,也许是文化……
历史上无数次运动下的斑斑血泪都告诉我们,个体的这种自私会导致多么的邪恶。
弗里德曼有个老理论说世界是平的:竞争公平了、机会平等了。现在看起来这有点过时了。个人节点从来都是中继或耗材,平等获取再多的信息通常对个体本身也不产生价值。信息过载的结果是大脑转到舒适区,刷视频看直播,时常激动一下下。
五、金字塔的隐喻
我们总爱说,现在社会群体是金字塔结构。而这个金字塔背后的隐喻其实是十分黑暗的。
著名的胡夫金字塔,由230万块巨石组成,40多层楼高。每块石头有几吨到几十吨重,还要表面精确切割成平面,最后一块一块纯靠重力摞在一起。
要知道那是4500年前,奴隶们没有任何铁器甚至连轮子都没发明,他们是怎么切割、打磨、运输和起重这百万块巨石的呢?
埃及的金字塔有100多座,这些建造需要多少奴隶我用膝盖想想都知道是个天文数字。他们千辛万苦,最后统一得到一个谥号:耗材。
从群体动力学看金字塔结构,即使精英阶层有较高的阻断率,由于其人数远少于普通群众,其对整体信息传播的影响有限。这意味着在互联网时代,尽管精英阶层可能试图阻止负面信息的传播,但实际上很难做到。所以,他们从阻断者转为信息发布者,用更加有煽动性的方式以毒攻毒。在这种环境下,屠龙少年有时也难以抵挡诱惑成为恶龙。
今天,全世界拿着手机的中继节点们 ,孜孜不倦地在传播千年宗教的仇恨、国家间的仇恨、社会群体间的仇恨。最后全球化退去,民粹燃烧掀起战争:无论是贸易战还是武器战,节点们都终将成为耗材炮灰。
六、男人的呻吟
有个很古老的故事:树上有个松果掉下来砸到小鸡。小鸡害怕极了,它以为天要崩塌了(Sky is falling)。小鸡慌忙告诉身边所有的朋友,然后它们都跑到山洞里躲起来,最终被狐狸一网打尽。
尽管这个世界各种丑陋尽显,但这可能只是人类戏剧化占领这个星球后之德不配位。无论求解什么方程组,最终都会暴露人群间的分歧越来越多,熵增不可逆转。
反过来说呢,壮丽的山脉、奔腾的河流、绚目的日落、神奇的生命、五彩的美食,我们热爱的一切其实又都没有改变。个体自私一点,被剥削一点,都不是什么大事;如果不是总被搞得激动沸腾,熵增就可以缓慢下来。
熟悉本号的老读者都知道,我时不常地写一些不知所云的小破文。也许这些文字并没有什么意义,它们只是一个不愿只做节点的男人的呻吟。
本文来自微信公众号:金捷幡 (ID:jin-jiefan),作者:金捷幡
相关推荐
天空在坠落
苹果会坠落吗?
坠落之后,搜狐能否重回媒体高光时刻?
堪比诺基亚!iPhone高空跳伞坠落奇迹生还:保护壳立功?
堪比诺基亚!iPhone 高空跳伞坠落奇迹生还:保护壳立功?
带壳 iPhone 从 14000 英尺高空坠落,找回后仍能正常工作
陈向东回应高途坠落凡间:同时在线18万回落到4000人,股价暴跌20%
折叠屏坏、卫星坠落、指纹漏洞,三星的2019到底有多“背”?
能直接换声的 AI、高空坠落机器人、专治 “马路杀手” 的软件...伯克利正在孵化些什么企业?
一个PPP项目的坠落
网址: 天空在坠落 http://www.xishuta.cn/newsview107240.html
推荐科技快讯
- 1问界商标转让释放信号:赛力斯 95792
- 2报告:抖音海外版下载量突破1 25736
- 3人类唯一的出路:变成人工智能 25175
- 4人类唯一的出路: 变成人工智 24611
- 5移动办公如何高效?谷歌研究了 24309
- 6华为 nova14深度评测: 13155
- 7滴滴出行被投诉价格操纵,网约 11888
- 82023年起,银行存取款迎来 10774
- 9五一来了,大数据杀熟又想来, 9794
- 10手机中存在一个监听开关,你关 9519
